0  174141  174149  174155  174159  174165  174167  174171  174177  174179  174185  174191  174195  174197  174201  174207  174209  174215  174219  174221  174225  174227  174231  174233  174235  174236  174237  174239  174240  174241  174243  174245  174249  174251  174255  174257  174261  174267  174269  174275  174279  174281  174285  174291  174297  174299  174305  174309  174311  174317  174321  174327  174335  447090 

30.(13分)

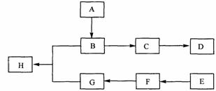
下图中A、B、C、D、E、F、G、H均为有机化合物。

回答下列问题:

(1)有机化合物 A的相对分子质量小于60,A能发生银镜反应,1molA在催化剂作用下能与3 mol H2反应生成B,则A的结构简式是_________,由A生成B的反应类型是________;

(2)B在浓硫酸中加热可生成C,C在催化剂作用下可聚合生成高分子化合物D,由C生成D的化学方程式是_____________ ;

(3)①芳香化合物E的分于式是C8H8Cl2。E的苯环上的一溴取代物只有一种,则E的所有可能的结构简式是_______________________________

②E在NaOH溶液中可转变为F,F用高锰酸钾酸性溶液氧化生成G(C8H6O4)。1 mol G与足量的 NaHCO3溶液反应可放出 44.8 L CO2(标准状况),由此确定E的结构简式_________

(4)G和足量的B在浓硫酸催化下加热反应可生成H,则由G和B生成H的化学方程式是___________,该反应的反应类型是_________________。

试题详情

25.(15分)在一定温度和催化剂下,将4 mol H2和1 mol N2在混合于一个容积为2L的密闭容器中,发生以下反应:N2(g)+3H2(g)2NH3(g));△H=-92.4kJ·mol-1,在2min末生成了1.6molNH3

(1)在2min内以N2表示的反应速率为         ;此时H2的转化率为     

(2)升高温度,H2的转化率      (填“增大”.“减小”.“不变”)。

(3)保持温度和压强不变,充入少量稀有气体,则NH3的物质的量      (填“增大”、“减小”、“不变”)。

(4)若上述反应在相同条件下从逆反应开始进行,开始时加入0.4 molN2和1.2 molNH3,若要使平衡时各物质的质量分数与原来平衡完全相同,则还应该加入H2的物质的量为     

(5)将一定量的氨气通入盐酸中,溶液pH恰好为13 (25℃)则该溶液的溶质为_______   ,请推测其离子浓度大小顺序_____________  

[选做部分]

试题详情

24.(15分)某碳氢化合物A的结构简式为

(1)A的分子式是_____________________

(2)若A的同分异构体B中含有苯环和碳碳三键,则B 的结构简式有_____种

(3)已知多个羟基连在同一个C上不稳定,易自动失水:

若B的一种同分异构体X中含有-CH2- ,X能发生如下图所示的转化关系。

①指出反应类型E→F是_________________,F→G是_____________________

②写出DE的化学方程式_____________________________________________

③已知G可用于制备高聚物(离子交换树脂),请写出在一定条件下制备该高聚物的化学方程式________________________________________________

试题详情

23.(15分)二氯化二硫(S2C12)在工业上用于橡胶的硫化。为在实验室合成S2C12,某化学研究性学习小组查阅了有关资料,得到如下信息:

① 将干燥的氯气在110℃ - 140℃与硫反应,即可得S2C12粗品。

② 有关物质的部分性质如下表:

物质
熔点/℃
沸点/℃
化学性质
S
112.8
444.6

S2C12
-77
137
遇水生成HCl、SO2、S;
300℃以上完全分解;
S2C12 + C12  2SCl2

设计实验装置图如下:

(1)上图中气体发生和尾气处理装置不够完善,请你提出改进意见___________利用改进后的正确装置进行实验,请回答下列问题:

(2)B中反应的离子方程式:_______________;E中反应的化学方程式:_______________。

(3)C、D中的试剂分别是_______________、_________________。

(4)如果在加热E时温度过高,对实验结果的影响是               

在F中可能出现的现象是______________         ;

(5)S2C12粗品中可能混有的杂质是(填写两种)______________、________________,

为了提高S2C12的纯度,关键的操作是控制好温度和           

试题详情

12.下列溶液中有关物质的量浓度关系正确的是

A.pH=2的HA溶液与pH=12的M(OH)2溶液任意比混合:

    c(H+) + c(M2+) == c(OH-) + c(A-)

B.pH相等的CH3COONa.NaOH和Na2CO3三种溶液:

    c(NaOH)<c(CH3COONa)<c(Na2CO3)

C.物质的量浓度相等CH3COOH和CH3COONa溶液等体积混合:

c(CH3COO-) +2c(OH-) == 2c(H+) + c(CH3COOH)

D.0.1mol·L-1的NaHA溶液,其pH=4:c(HA-)>c(H+)>c(H2A)>c(A2-)

第II卷(必做+选做)

[必做部分]

试题详情

11.用下列实验装置进行的实验,能达到相应实验目的的是

  A.装置甲:防止铁钉生锈         B.装置乙:除去乙烯中混有的乙炔

  C.装置丙:验证HCl气体在水中的溶解性   D.装置丁:实验室制取乙酸乙酯

试题详情

10. 不久前,美国一个海军航空站安装了一台250kW的MCFC型燃料电池,该电池可同时供应电和蒸汽,其燃料为H2,电解质为熔融的K2CO3,工作温度为600℃~700℃。已知该电池的总反应为2H2+O2==2H2O;负极反应为,则下列推断正确的是

A.正极反应为:     B.放电时向负极移动

C.电池供应1mol水蒸气,转移的电子数为4mol   D.放电时向正极移动

试题详情

9.下列离子方程式书写正确的是

A.铁跟盐酸反应:

B.碳酸氢钙溶液跟过量的氢氧化钠溶液反应:

C.次氯酸钙溶液中通入过量的

D.氯化铝溶液与过量的氨水反应:

试题详情

8.用NA表示阿伏加德罗常数的值,下列说法中正确的是

A.标准状况下,2.24L的苯中含有0.3 NA个碳碳双键

B.120gNaHSO4晶体中所含的离子总数为3NA

C.10mL质量分数为98%的H2SO4,用水稀释至100mL,H2SO4的质量分数为9.8%

D.VLamoL/L的氯化铁溶液中,若Fe3+的数目为NA,则Cl-的数目大于3NA

试题详情

7.2008年北京奥运会主体育场--“鸟巢”,被《泰晤士报》评为全球“最强悍”工程。“鸟巢”运用了高强度.高性能的钒氮合金高新钢和884块ETFE膜,并采用新一代的氮化镓高亮度LED材料。下列说法正确的是

A.合金的熔点通常比组分金属高,硬度比组分金属小

B.已知Ga处于第ⅢA族,可推知氮化镓化学式为Ga3N2

C.工业上可用金属铝与V2O5在常温下冶炼钒,铝作还原剂

D.ETFE膜()是一种可焊接的塑料

试题详情


同步练习册答案