0  174387  174395  174401  174405  174411  174413  174417  174423  174425  174431  174437  174441  174443  174447  174453  174455  174461  174465  174467  174471  174473  174477  174479  174481  174482  174483  174485  174486  174487  174489  174491  174495  174497  174501  174503  174507  174513  174515  174521  174525  174527  174531  174537  174543  174545  174551  174555  174557  174563  174567  174573  174581  447090 

11.某有机物与过量的钠反应得到VAL气体A,另取等质量的该有机物与过量的碳酸氢钠完全反应得到VBL的气体B,同温同压下,VA与VB的关系一定是

A.VA=VB         B.VA≥VB      C.V A<VB        D.无法确定

试题详情

10.某有机化合物仅由碳、氢、氧三种元素组成,其相对分子质量小于150,若已知其中氧的质量分数为50%,则分子中碳原子的个数最多为

A.4            B.5           C.6           D.7

试题详情

9.2008年北京奥运会的国家游泳中心(水立方)的建筑采用的膜材料ETFE,该材料为四氟乙烯与乙烯的共聚物,吉祥物福娃的内充物为由对苯二甲酸和乙二醇聚合得到的无毒的聚酯纤维,下列说法错误的是

A.ETFE分子中可能存在“-CH2-CH2-CF2-CF2-”的连接方式

B.合成ETFE为加聚反应

C.四氟乙烯也可与六氟丙烯共聚成全氟乙丙烯聚,全氟乙丙烯分子的结构简式不可能为

D.合成福娃内充物的聚酯纤维的反应也是加聚反应

试题详情

8.下列5种有机物中,能够发生氧化、消去和酯化反应的是

①CH2=CHCH2COOH      ②CH3CHClCHO      ③CH2=C(CH3)CH2OH

④CH3CHOHCH2CHO      ⑤CH3CHClCH2CH2OH

A.①②           B.③④⑤       C.④⑤           D.②④⑤

试题详情

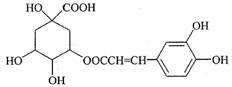
7.咖啡鞣酸具有较广泛的抗菌作用,其结构简式如下所示:

关于咖啡鞣酸的下列叙述不正确的是

A.分子式为C16H18O9

B.与苯环直接相连的原子都在同一平面上

C.1 mol咖啡鞣酸水解时可消耗8molNaOH

D.与浓溴水既能发生取代反应又能发生加成反应

试题详情

6.前段时间查出了不法分子往奶粉中添加过量的三聚氰胺,三聚氰胺俗称蜜胺,结构上可看作是三分子氰胺聚合而成,主要用于生产三聚氰胺一甲醛树脂。三聚氰胺微溶于冷水,易结晶,可溶于热水,低毒。在一般情况下较稳定,但在高温下可能会分解放出氰化物。其结构式如下图,下列有关说法不正确的是

A.长期摄入三聚氰胺会造成生殖、泌尿系统的损害,使膀胱、肾部结石

B.氰胺的结构简式为NH2-C≡N

C.三聚氰胺属于芳香烃

D.三聚氰胺呈弱碱性,可与盐酸、硫酸等酸反应形成三聚氰胺盐

试题详情

5.以下实验或操作不能达到目的的是

A.用溴水鉴别苯、乙醇、四氯化碳

B.用饱和碳酸钠溶液除去乙酸乙酯中乙酸

C.为除去苯中的少量苯酚,向混合物中加入适量的溴水后过滤

D.用蒸馏的方法分离苯和甲苯

试题详情

4.下列物质存在顺反异构的是

A.丙烯          B.1-丁烯          C.2-丁烯         D.1,1-二氯乙烯

试题详情

3.下列各组物质不属于同分异构体的是

A.2,2-二甲基丙醇和2-甲基丁醇      B.邻氯甲苯和对氯甲苯

C.2-甲基丁烷和异戊烷              D.丁酸和甲酸丙酯

试题详情

2.下列各化合物的命名中正确的是

A.                             B.

3-丁醇             甲基苯酚

C.                              D.

  2-乙基丙烷      CH2=CH-CH=CH2  1,3-丁二烯

试题详情


同步练习册答案