0  244721  244729  244735  244739  244745  244747  244751  244757  244759  244765  244771  244775  244777  244781  244787  244789  244795  244799  244801  244805  244807  244811  244813  244815  244816  244817  244819  244820  244821  244823  244825  244829  244831  244835  244837  244841  244847  244849  244855  244859  244861  244865  244871  244877  244879  244885  244889  244891  244897  244901  244907  244915  447090 

7.假设关于某设备的使用年限和所支出的维修费用(万元),有如下的统计资料:

使用年限x
2
3
4
5
6
维修费用y
2.2
3.8
5.5
6.5
7.0

若由资料知y与x呈线性相关关系。

试求:(1)线性回归方程的回归系数

(2)估计使用年限为10年时,维修费用是多少?

试题详情

6、有一组y与x的数据

x
-5
-3
-1
0
1
3
5
y
5
3
1
0
1
3
5

问y与x的样本相关系数r是多少?这是否说明y与x没有关系?

 

试题详情

5、某猪场用80头猪检验某种疫苗是否有预防效果,结果是注射疫苗的44头中有12头发病,32头未发病;未注射的36头中有22头发病,14头未发病,则相应的列联表是

 
 
 
合计
 
 
 
 
 
 
 
 
合计
 
 
 

注射疫苗的猪的发病率为____________,未注射疫苗的猪的发病率为___________。

试题详情

4.对于线性相关系数,下列说法正确的是           

(1),|r|越大,相关程度越高;反之,相关程度越低

(2),r越大,相关程度越高;反这,相关程度越低

(3)越接近于1,相关程度越高;越接近于0,相关程度越低

(4)越接近于1,相关程度越低;越接近于0,相关程度越高

试题详情

3.有300人按性别和是否色弱分类如下表

 


正常
142
155
色弱
13
5

由此表可求得的值约为        ,根据             ,可以有95%的把握认为色弱与性别有关。

试题详情

2.若施化肥量x与水稻产量y的回归直线方程,当施化肥量为80kg时,预计的水稻产量为                  

试题详情

1.r是相关系数,则下列结论正确的个数有         个。

(1)时,两变量负相关很强;    (2)时,两变量正相关很强;

(3)时,两变量相关性一般;

(4)r=0.1时,两变量相关很弱。

试题详情

7.实验测得四组(x,y)的值(1,2),(2,3),(3,4),(4,5),则y与x之间的回归直线方程为                    

[典型例题]

    例1  某厂的生产原料耗费x与销售额y(单位:百万元)之间有如下的对应关系:

x
2
4
6
8
y
30
40
50
70

  (1)问x与y之间是否具有线性相关关系,若有,则求其回归直线方程;

  (2)若实际销售额不少于50百万元,则原料耗费应该不少于多少?

例2  某班主任对全班50名学生学习积极性和对待班级工作的态度进行了调查,统计数据如下表所示:

(I)如果随机抽查这个班的一名学生,那么抽到积极参加班级工作的学生的概率是多少?抽到不太积极参加班级工作且学习积极性一般的学生的概率是多少?

(Ⅱ)试运用独立性检验的思想方法分析:学生的学习积极性与对待班级工作的态度是否有关?并说明理由.

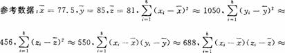
例3  为了对2006年我市中考成绩进行分析,在60分以上的全体同学中随机抽出8位,他们的数学(已折算为百分制)、物理、化学分数对应如下表,

(1)若规定85分(包括85分)以上为优秀,求这8位同学中数学和物理分数均为优秀的概率;

(2)用变量y与的相关系数说明物理与数学、化学与数学的相关程度;

(3)求y与的线性回归方程(系数精确到0.01),并用相关指数比较所求回归模型的效果.

作业

试题详情

6.线性回归方程过定点           

试题详情

5.若由一个2×2列联表中的数据计算得=4.013,那么有       的把握认为两个变量有关系。

试题详情


同步练习册答案