题目列表(包括答案和解析)

 0  83742  83750  83756  83760  83766  83768  83772  83778  83780  83786  83792  83796  83798  83802  83808  83810  83816  83820  83822  83826  83828  83832  83834  83836  83837  83838  83840  83841  83842  83844  83846  83850  83852  83856  83858  83862  83868  83870  83876  83880  83882  83886  83892  83898  83900  83906  83910  83912  83918  83922  83928  83936  447348 

1、  一个两位数,十位数字与个位数字之和是5,把这个数的个位数字与十位数字对调后,所得的新两位数与原两位数的乘积为736,求原来的两位数。

试题详情

26、已知二次函数y=x2-(m2+5)x+2m2+6(x为自变量)的图象与x轴交于A(2,0)、B两点,与y轴交于C点,且A、B两点间的距离为8。(11分)

(1)求这个二次函数的解析式。

(2)画出这个二次函数的图象(草图),若二次函数的图象的顶点坐标为P。求△PAC的面积。

试题详情

25、已知⊙O1与⊙O2相交于A、B两点,且O2在⊙O1上。⑴如图一,AD是⊙O2的直径,连结DB并延长交⊙O1于点C,求证:C O2⊥AD;⑵如图二,AD是⊙O2的一条弦,连结DB并延长交⊙O1于点C,这时C O2所在直线是否仍与AD垂直?请证明你的结论。(11分)

试题详情

24、某商场经营一批进价为2元一件的小商品,在市场营销中发现此商品的日销售单价x元与日销售y件之间有如下关系:

X
3
5
9
11
y
18
14
6
2

根据表中提供的数据

(1)在右图直角坐标系中描出实数对(x,y)的对应点;(3分)

(2)猜测并确定日销售量y件与日销售单价x元之间的函数关系式,并在右图中画出图象;(4分)

(3)设经营此商品的日销售利润(不考虑其他因素)为P元,根据日销售规律,试求出日销售利润P元与日销售单价x元之间的函数关系式,并求出日销售单价x为多少元时,才能获得最大日销售利润。(5分)

试题详情

23、如图,AB为⊙O的直径,C为 的中点,CD⊥AB于点D,与AE相交于点F。求证:①AD·AB=AF·AE  ②AF=CF  (10分)

试题详情

22、(1)已知反比例函数y=,当x=-时,y=-6,求出这个解析式;(3分)

(2)若一次函数y=mx-4的图象与(1)中的反比例函数y=的图象有交点,求m的取值范围。(4分)

试题详情

21、已知如图,两点A(-8,0),B(2,0),以AB为直径的半圆与y轴正半轴交于点C。(8分)

①求过点A、C的直线的解析式和过A、B、C三点的抛物线的解析式;

②抛物线的顶点,求D点的坐标。

试题详情

20、已知关于x的一元二次方程(k-3)x2-x+1=0有两个不相等的实数根,求k的取值范围。( 6分)

试题详情

19、已知:如图⊙O的弦AB=2㎝,半径OC⊥AB于M,若CM=1㎝,求OM的长。( 6分)

试题详情

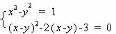
18、解方程(组)(6分×2=12分)

(1)3x3-5x2+2x=0      (2)

试题详情


同步练习册答案