题目列表(包括答案和解析)

 0  80989  80997  81003  81007  81013  81015  81019  81025  81027  81033  81039  81043  81045  81049  81055  81057  81063  81067  81069  81073  81075  81079  81081  81083  81084  81085  81087  81088  81089  81091  81093  81097  81099  81103  81105  81109  81115  81117  81123  81127  81129  81133  81139  81145  81147  81153  81157  81159  81165  81169  81175  81183  447348 

18. (本小题满分6分)

时,求代数式的值。

试题详情

17. 如图,在平面直角坐标系xOy中,点A(0,1),点B在x轴的正半轴上,,在坐标轴上找一点P,使为等腰三角形,那么符合条件的点P有________个。

试题详情

16. 已知一组数据,那么这组数据的标准差为________

试题详情

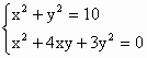
15. 解方程组时,可将其化为两个方程组________________和________________。

试题详情

14. 如果某多边形的内角和与外角和的度数比为3:2,那么这个多边形的边数为________

试题详情

13. 函数中,自变量x的取值范围是________

试题详情

12. 如图,是边长为10的等边三角形,以AC为直径作⊙O,D是BC边上一点,,以D为圆心,DB为半径的⊙D与⊙O的位置关系为()

A. 相交 B. 外离 C. 外切 D. 内切

试题详情

11. 如图,将矩形ABCD绕点C顺时针旋转,使点D落在BC边延长线上的F点,如果,那么点A从旋转开始到结束走过的路线长度为()

A. B. C. D.

试题详情

10. 函数的共同性质是( )

A. 它们的图象都经过原点

B. 它们的图象都不经过第二象限

C. 在x>0的条件下,y都随x的增大而增大

D. 在x>0的条件下,y都随x的增大而减小

试题详情

9. 已知关于x的方程的两个实数根互为倒数,那么k的值为()

A. 1 B. C. D.

试题详情


同步练习册答案