题目列表(包括答案和解析)

 0  80990  80998  81004  81008  81014  81016  81020  81026  81028  81034  81040  81044  81046  81050  81056  81058  81064  81068  81070  81074  81076  81080  81082  81084  81085  81086  81088  81089  81090  81092  81094  81098  81100  81104  81106  81110  81116  81118  81124  81128  81130  81134  81140  81146  81148  81154  81158  81160  81166  81170  81176  81184  447348 

2. 下列计算中计算正确的有( )个

(1)(2)

(3)(4)

A. 1个 B. 2个 C. 3个 D. 4个

试题详情

1. 的相反数是( )

A. B. C. D. 3

试题详情

26. 已知:如图,中,,点P在AB边上由点A向点B匀速运动,点Q在CB边上由点C向点B匀速运动,它们同时出发,速度都为1厘米/秒,当点Q先到达B点时,点P也停止运动。设P、Q两点运动的时间为t秒。

(1)若的面积为s(),求s()与运动时间t(秒)的函数关系式及自变量t的取值范围;

(2)当为直角三角形时,它的面积是多少平方厘米?

(3)已知:P、Q两点的运动速度相同时,无论t为何值,都不可能是正三角形(请考试结束后进一步思考它的原因)。那么在“保持点P运动速度不变”的条件下,是否能通过改变点Q的运动速度,使在运动的过程中成为正三角形?若能,请求出点Q改变后的运动速度v和此时t的值;若不能,请说明理由。

试题详情

25. 已知:如图1,直线交y轴于点C,点D(m,n)是这条直线上第一象限内的一点,以CD为直径的⊙M交x正半轴于两点,交y轴于点E。

图1

(1)用m、n的代数式表示点E、M的坐标;

(2)求证:

(3)如图2,若抛物线经过A、B、D三点,

图2

①求a的值;

②当弦CE与弦AB的长度相等时,求抛物线的解析式。

试题详情

24. 已知:正比例函数和反比例函数在同一坐标系中的图象有两个交点,其中

(1)求k的取值范围;

(2)作轴于点C,若的面积为2,求该反比例函数的解析式。

试题详情

23. 为保护环境,某校环保小组成员收集废电池,小亮第一天收集了5节5号电池和12节7号电池,称得总重量264克;第二天收集了7节5号电池和6节7号电池,称得总重量为240克。

(1)5号电池和7号电池每节各重多少克?

(2)为估计六月份小组全体成员收集电池的总重量,该环保小组随机抽取了该月某5天小组全体成员收集废电池的情况。(如下表所示)

日期
5日
9日
12日
18日
24日
5号废电池(单位:节)
29
30
32
28
31
7号废电池(单位:节)
51
53
47
49
50

问:这5天,小组全体成员平均每天收集这两种废电池各多少节?估计六月份环保小组全体成员收集废电池的总重量是多少千克?

试题详情

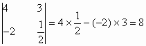
22. (1)观察下列等式:

如果a、b、c、d为实数,那么以上三个等式中都使用了同一种运算,可以看出,在这里,我们规定了________

(2)在(1)中这种运算的规定下,回答下列问题:

①方程可化为________________,它的解为________________

②现有一个关于x的方程,用的形式可将其改写为________________。(不解方程)

试题详情

21. 已知:如图1,等腰梯形ABCD中,AD//BC,AB=DC,E为AB的中点,小明手头只有一把带刻度的直尺,他利用直尺上较长的刻度线画出了BC的垂线AF,垂足为F,(如图2),再连结EF。(如图3),然后他问同学小亮:“你知道EF和DC有什么位置关系吗?”

读完以上内容后,请解答下列问题:

(1)在图1中按小明的画法画出线段AF、EF;

(2)帮小亮证明EF和DC的位置关系。

试题详情

20. 如图,已知测速站P和公路L在同一水平面上,P到公路L的距离PO为300米,事先在公路上找到了满足的A、B两点安装测速设备。一辆汽车在公路L上沿AB方向匀速行驶,测得它从点A到点B所用的时间为9秒。

(1)计算此车从点A到点B的速度v为每秒多少米(结果精确到个位,);

(2)如果此路段限定时速不超过80千米,判断此车是否超速,并说明理由。

试题详情

19. (本小题满分5分)

解方程:

试题详情


同步练习册答案