题目列表(包括答案和解析)

 0  81092  81100  81106  81110  81116  81118  81122  81128  81130  81136  81142  81146  81148  81152  81158  81160  81166  81170  81172  81176  81178  81182  81184  81186  81187  81188  81190  81191  81192  81194  81196  81200  81202  81206  81208  81212  81218  81220  81226  81230  81232  81236  81242  81248  81250  81256  81260  81262  81268  81272  81278  81286  447348 

24.(本小题8分)

解:设甲车的速度为千米/时,乙车的速度为千米/时(1分)

根据题意,得(3分)

解这个方程组,得(4分)

经检验,都是分式方程组的解(5分)

(不合题意,舍去)(6分) ∴ (7分)

答:甲车的速度为30千米/时,乙车的速度为24千米/时(8分)

试题详情

23.(本小题8分)

(1)证明:在中,∵

(2分) ∴

(3分)

∴ BE=CE(4分)

(2)解:∵ AB=8cm,AC=6cm,BC=10cm

(5分)

是直角三角形,且(6分)

∴ BC为圆的直径,(6分)

由(1)可知,在中,BE=CE

(7分)

(8分)

试题详情

22.(本小题8分)

解:根据题意,得OA=(海里)(1分)

(2分)

∵ B在A的正东方向 ∴ (3分)

中,(5分)

(海里)(7分)

(海里/时)(8分)

答:乙船的速度约为10.1海里/时。

试题详情

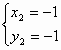
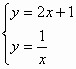
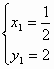
21.(本小题8分)

解:

(1)根据题意,得(2分)

解这个方程组,得(3分) ∴ 一次函数的解析式为:

反比例函数的解析式为:(5分)

(2)由解得(7分)

∴ 这两个函数图象另一个交点的坐标为()(8分)

试题详情

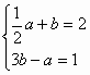
20.(本小题8分)

解:

由(1),得(3)(1分)

把(3)代入(2),整理,得(2分)

解这个方程,得(4分)

代入(3),得3

代入(3),得(6分)

所以原方程组的解是(8分)

试题详情

19.(本小题6分)

解:原式(3分)(5分)(6分)

试题详情

16.(0,0)或(1,1)或(2,4)

试题详情

15. 12cm

试题详情


同步练习册答案