题目列表(包括答案和解析)

 0  81093  81101  81107  81111  81117  81119  81123  81129  81131  81137  81143  81147  81149  81153  81159  81161  81167  81171  81173  81177  81179  81183  81185  81187  81188  81189  81191  81192  81193  81195  81197  81201  81203  81207  81209  81213  81219  81221  81227  81231  81233  81237  81243  81249  81251  81257  81261  81263  81269  81273  81279  81287  447348 

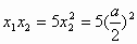
8. 一组数据15,17,14,10,15,17,17,16,14,12,其平均数为a,中位数为b,众数为c,则有()

A. B. C. D.

试题详情

7. 如图,⊙O的直径AB=10,E是OB上一点,弦CD过点E,且BE=2,,则弦心距OF等于( )

A. 1 B. C. D.

试题详情

6. 已知二次函数的图象经过三点,则该函数解析式为( )

A. B.

C. D.

试题详情

5. 如图,在中,点E在AC上,且EC=2AE,F是BE的中点,AF的延长线交BC于点D。则有()

A. B. C. D.

试题详情

4. 已知,化简的结果是( )

A. B. C. 5 D.

试题详情

3. 如图,四边形ABCD内接于⊙O,延长AB、DC相交于点E,延长AD、BC相交于点F,若,则等于( )

A. B. C. D.

试题详情

2. 下列图形中,既是中心对称图形,又是轴对称图形的共有( )

① 线段 ② 直角三角形 ③ 平行四边形 ④ 矩形 ⑤ 菱形 ⑥ 等腰梯形

A. 6个 B. 5个 C. 4个 D. 3个

试题详情

1. 我国陆地面积约为9600000km2,用科学记数法可表示为( )

A. B. C. D.

试题详情

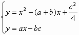
26.(本小题10分)

(1)证明:在关于的一元二次方程中,

(1分)

的边长,∴ (2分)

,方程有两个不相等的实数根

∴ 抛物线轴必有两个交点(3分)

(2)解:由,得(4分)

设抛物线的对称轴交轴于H,如图, 则

(6分)

解得,则

∴ 抛物线的解析式为:(7分)

(3)解:由

由题意,得

(8分)

如图,设E(),F()

,得

由(3)得

由(2)得

(9分)

由(1)得,即

为等边三角形(10分)

试题详情

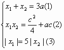
25.(本小题10分)

(1)证明:

(1分)

(2分)(3分)

(2)证明:

(4分)

(5分)

(6分)

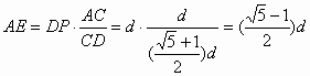
(3)解:设,(),⊙O的直径为

则DP=AB=AC=

由切割线定理,得(7分)

,整理,得

解得

(8分)

∵ BE∥DA ∴

(9分)

(10分)

试题详情


同步练习册答案