题目列表(包括答案和解析)

 0  93916  93924  93930  93934  93940  93942  93946  93952  93954  93960  93966  93970  93972  93976  93982  93984  93990  93994  93996  94000  94002  94006  94008  94010  94011  94012  94014  94015  94016  94018  94020  94024  94026  94030  94032  94036  94042  94044  94050  94054  94056  94060  94066  94072  94074  94080  94084  94086  94092  94096  94102  94110  447348 

19.为了了解某市开展群众体育活动的情况,拟采用分层抽样的方法从A,B,C三个区中抽取5个工厂进行调查,已知这三个区分别有9,18,18个工厂。

(1)求从A,B,C区中分别抽取的工厂的个数;

(2)若从抽得的5个工厂中随机的抽取2个进行调查结果的比较,用列举法计算这2个工厂中至少有一个来自C区的概率。

试题详情

18.铁路部门托运行李的收费方法如下:y是收费额(单位:元),x是行李重量(单位:㎏),当时,按0.35/㎏ 收费,当㎏ 时,20㎏的部分按0.35元/㎏,超出20㎏的部分,则按0.65元/㎏收费.(1) 请根据上述收费方法求出y关于x的函数式;(2)画出流程图.(3)请你为该铁路部门设计一个计算行李托运费的程序。

试题详情

17.为了了解某地高一学生的体能状况,某校抽取部分学生进行一分钟跳绳次数测试,将所得数据整理后,画出频率分布直方图(如图),图中从左到右各小长方形的面积之比为,第二小组频数为12.

(1)第二小组的频率是多少?样本容量是多少?

(2)若次数在110以上为达标,试估计全体高一学生的达标率为多少?

(3)通过该统计图,可以估计该地学生跳绳次数的众数是    ,中位数是      

试题详情

16.一次社会实践活动中,统计出学生训练时

间x(小时),与制作手工艺品个数y(个)如下表:

训练时间
2
3
4
5
6
制作个数
3
5
5
5
7

  通过画散点图已经知道y与x正相关,

试求出线性回归直线方程_________.

试题详情

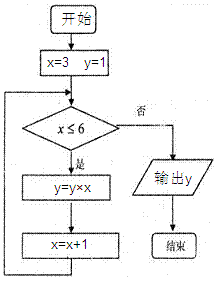
15.下面框图表示的程序所输出的

   结果是________________.

试题详情

14. 已知实数满足下列两个条件:①关于的方程有解;②代数式有意义。则使得指数函数为减函数的概率为_________.

试题详情

13.用辗转相除法或更相减损术计算得437和323的最大公约数为_________.

试题详情

12.用“秦九韶算法”计算多项式的值,当x=3时,求多项式值的过程中,要经过    次乘法运算和    次加法运算。

试题详情

11.从一批苹果中任取一个,其质量小于的概率为,质量大于的概率为,那么质量在范围内的概率为_________.

试题详情

10.O为边长为6的等边三角形内心,P是三角形内任一点,

使得OP<的概率是(   ).

A.    B.    C.   D.

试题详情


同步练习册答案