题目列表(包括答案和解析)

 0  96662  96670  96676  96680  96686  96688  96692  96698  96700  96706  96712  96716  96718  96722  96728  96730  96736  96740  96742  96746  96748  96752  96754  96756  96757  96758  96760  96761  96762  96764  96766  96770  96772  96776  96778  96782  96788  96790  96796  96800  96802  96806  96812  96818  96820  96826  96830  96832  96838  96842  96848  96856  447348 

3.B  令

试题详情

2.A 

试题详情

1.B  线段的中点为垂直平分线的

试题详情

4.直线轴,轴分别交于点,在线段为边在第一象限内作等边△,如果在第一象限内有一点使得△和△的面积相等,

   求的值。

第三章 直线和方程 [综合训练B组]答案

试题详情

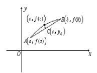
2.   把函数之间的一段图象近似地看作直线,设

证明:的近似值是:

试题详情

2.一直线被两直线截得线段的中点是点,当点分别为时,求此直线方程。

试题详情

1.求经过点并且和两个坐标轴围成的三角形的面积是的直线方程。

试题详情

5.设,则直线恒过定点      

试题详情

4.将一张坐标纸折叠一次,使点与点重合,且点与点重合,则的值是___________________。

试题详情

3.已知点在直线上,则的最小值为     

试题详情


同步练习册答案