题目列表(包括答案和解析)

 0  100973  100981  100987  100991  100997  100999  101003  101009  101011  101017  101023  101027  101029  101033  101039  101041  101047  101051  101053  101057  101059  101063  101065  101067  101068  101069  101071  101072  101073  101075  101077  101081  101083  101087  101089  101093  101099  101101  101107  101111  101113  101117  101123  101129  101131  101137  101141  101143  101149  101153  101159  101167  447348 

17、(9分)已知复数满足为实数,求

试题详情

5.059>

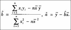
16(9分) 下表提供了某厂节能降耗技术改造后生产甲产品过程中记录的产量x(吨)与相应的生产能耗Y(吨标准煤)的几组对照数据

x
   3
   4
   5
   6
   y
   2.5
   3
   4
   4.5

(1)请画出上表数据的散点图;

(2)请根据上表提供的数据,最小二乘法求出Y关于x的线性回归方程Y=bx+a;

(3)已知该厂技改前100吨甲产品的生产能耗为90吨标准煤.试根据(2)求出的线性

同归方程,预测生产100吨甲产品的生产能耗比技改前降低多少吨标准煤?

(参考数值:3*2.5+4*3+54+6*4.5=66.5)

试题详情

15、(9分)班主任对全班50名学生进行了作业量多少的调查,喜欢玩电脑游戏的同学认为作业多的有18人,认为作业不多的有9人,不喜欢玩电脑游戏的同学认为作业多的有8人,认为作业不多的有15人,则认为喜欢玩电脑游戏与认为作业量的多少有关系的把握大约是多少?附表:的临界值表:


0.15
0.10
0.05
0.025
0.010
0.005
0.001
 
2.072
2.706
3.841
5.024
6.635
7.879
10.828

试题详情

14.用火柴棒按下图的方法搭三角形:

按图示的规律搭下去,则所用火柴棒数an与所搭三角形的个数n之间的关系式可以是___________.

试题详情

13、已知复数,则复数  =        。

试题详情

12. 已知复数是纯虚数,则实数=    

试题详情

11.外国数学家角谷提出一个猜想:任何一个大于1的自然数经过如下的有限步运算,最后结果为1:(1)如果是偶数,将其除以2;(2)如果是奇数,将其乘以3,再加上1.这就是著名的"角谷猜想".如果从13开始,则经过      步运算可以验证结果为1.

试题详情

10.设(  )

   A.都不大于      B.都不小于 

C.至少有一个不大于  D.至少有一个不小于

试题详情

9. 复数,且,若是实数,则ab的关系是(   ).

A.   B.     C.   B.

试题详情

8.独立性检验中,假设:变量X与变量Y没有关系.则在成立的情况下,估算概率表示的意义是(   )

A.变量X与变量Y有关系的概率为

B.变量X与变量Y有关系的概率为

C.变量X与变量Y没有关系的概率为

D.变量X与变量Y没有关系的概率为

试题详情


同步练习册答案