题目列表(包括答案和解析)

 0  53591  53599  53605  53609  53615  53617  53621  53627  53629  53635  53641  53645  53647  53651  53657  53659  53665  53669  53671  53675  53677  53681  53683  53685  53686  53687  53689  53690  53691  53693  53695  53699  53701  53705  53707  53711  53717  53719  53725  53729  53731  53735  53741  53747  53749  53755  53759  53761  53767  53771  53777  53785  447348 

题型1:正比例、反比例和一次函数型

例(1)(2009山东卷理)(本小题满分12分)

两县城A和B相距20km,现计划在两县城外以AB为直径的半圆弧上选择一点C建造垃圾处理厂,其对城市的影响度与所选地点到城市的的距离有关,对城A和城B的总影响度为城A与城B的影响度之和,记C点到城A的距离为x km,建在C处的垃圾处理厂对城A和城B的总影响度为y,统计调查表明:垃圾处理厂对城A的影响度与所选地点到城A的距离的平方成反比,比例系数为4;对城B的影响度与所选地点到城B的距离的平方成反比,比例系数为k ,当垃圾处理厂建在的中点时,对城A和城B的总影响度为0.065.

(1)将y表示成x的函数;

(11)讨论(1)中函数的单调性,并判断弧上是否存在一点,使建在此处的垃圾处理厂对城A和城B的总影响度最小?若存在,求出该点到城A的距离;若不存在,说明理由。

解法一:(1)如图,由题意知AC⊥BC,,

其中当时,y=0.065,所以k=9

所以y表示成x的函数为

(2),,令,所以,即,当时, ,即所以函数为单调减函数,当时, ,即所以函数为单调增函数.所以当时, 即当C点到城A的距离为时, 函数有最小值.

解法二: (1)同上.

(2)设,

,,所以

当且仅当时取”=”.

下面证明函数在(0,160)上为减函数, 在(160,400)上为增函数.

设0<m1<m2<160,则

 

,

因为0<m1<m2<160,所以4>4×240×240

9 m1m2<9×160×160所以,

所以函数在(0,160)上为减函数.

同理,函数在(160,400)上为增函数,设160<m1<m2<400,则

因为1600<m1<m2<400,所以4<4×240×240, 9 m1m2>9×160×160

所以,

所以函数在(160,400)上为增函数.

所以当m=160即时取”=”,函数y有最小值,

所以弧上存在一点,当时使建在此处的垃圾处理厂对城A和城B的总影响度最小.

[命题立意]:本题主要考查了函数在实际问题中的应用,运用待定系数法求解函数解析式的 能力和运用换元法和基本不等式研究函数的单调性等问题.

(2).某地区1995年底沙漠面积为95万公顷,为了解该地区沙漠面积的变化情况,进行了连续5年的观测,并将每年年底的观测结果记录如下表。根据此表所给的信息进行预测:(1)如果不采取任何措施,那么到2010年底,该地区的沙漠面积将大约变为多少万公顷;(2)如果从2000年底后采取植树造林等措施,每年改造0.6万公顷沙漠,那么到哪一年年底该地区沙漠面积减少到90万公顷?

观测时间
1996年底
1997年底
1998年底
1999年底
2000年底
该地区沙漠比原有面积增加数(万公顷)
0.2000
0.4000
0.6001
0.7999
1.0001

解析:(1)由表观察知,沙漠面积增加数y与年份数x之间的关系图象近似地为一次函数y=kx+b的图象

x=1,y=0.2与x=2,y=0.4,代入y=kx+b

求得k=0.2,b=0,

所以y=0.2x(x∈N)。

因为原有沙漠面积为95万公顷,则到2010年底沙漠面积大约为

95+0.5×15=98(万公顷)。

(2)设从1996年算起,第x年年底该地区沙漠面积能减少到90万公顷,由题意得

95+0.2x-0.6(x-5)=90,

解得x=20(年)。

故到2015年年底,该地区沙漠面积减少到90万公顷。

点评:初中我们学习过的正比例、反比例和一元一次函数的定义和基本性质,我们要牢固掌握。特别是题目中出现的“成正比例”、“成反比例”等条件要应用好

例2.(2009湖南卷理)(本小题满分13分)

某地建一座桥,两端的桥墩已建好,这两墩相距米,余下工程只需要建两端桥墩之间的桥面和桥墩,经预测,一个桥墩的工程费用为256万元,距离为米的相邻两墩之间的桥面工程费用为万元。假设桥墩等距离分布,所有桥墩都视为点,且不考虑其他因素,记余下工程的费用为万元。

  (Ⅰ)试写出关于的函数关系式;

  (Ⅱ)当=640米时,需新建多少个桥墩才能使最小?

解 (Ⅰ)设需要新建个桥墩,

所以 

  (Ⅱ)  由(Ⅰ)知,

  令,得,所以=64   

   当0<<64时<0,  在区间(0,64)内为减函数;     

时,>0. 在区间(64,640)内为增函数,

所以=64处取得最小值,此时,

故需新建9个桥墩才能使最小

题型2:二次函数型

例3.一辆中型客车的营运总利润y(单位:万元)与营运年数x(x∈N)的变化关系如表所示,则客车的运输年数为()时该客车的年平均利润最大

(A)4   (B)5   (C)6   (D)7

x
4
6
8

(万元)
7
11
7

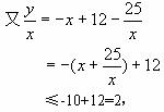
解析:表中已给出了二次函数模型

由表中数据知,二次函数的图象上存在三点(4,7),(6,11),(8,7),则

解得a=-1,b=12,c=-25,

而取“=”的条件为

x=5,故选(B)。

点评:一元二次函数是高中数学函数中最重要的一个模型,解决此类问题要充分利用二次函数的结论和性质,解决好实际问题。

例4.(2009福州八中)某造船公司年造船量是20艘,已知造船艘的产值函数为R(x)=3700x+45x2-10x3(单位:万元),成本函数为C(x)=460x+5000(单位:万元),又在经济学中,函数f(x)的边际函数Mf(x)定义为Mf(x)=f(x+1)-f(x)。

(Ⅰ)求利润函数P(x)及边际利润函数MP(x);(提示:利润=产值成本)

(Ⅱ)问年造船量安排多少艘时,可使公司造船的年利润最大?

(Ⅲ)求边际利润函数MP(x)单调递减时x的取值范围,并说明单调递减在本题中的实际意义是什么?

解  (Ⅰ)P(x)=R(x)-C(x)=-10x3+45x2+3240x-5000,(xN*,且1≤x≤20);    MP(x)=P(x+1)-P(x)=-30x2+60x+3275,(xN*,且1≤x≤19)

(Ⅱ).

∴当0<x<12时>0,当x<12时,<0.   

∴x=12,P(x)有最大值.               

即年造船量安排12 艘时,可使公司造船的年利润最大.   

(Ⅲ)∵MP(x)=-30x2+60x+3275=-30(x-1)2+3305,        

所以,当x≥1时,MP(x)单调递减,x的取值范围为[1,19],且xN*   

是减函数的实际意义:随着产量的增加,每艘船的利润在减少.

例5.(2008湖南理21.)

已知函数有三个极值点

(I)证明:

(II)若存在实数c,使函数在区间上单调递减,求的取值范围。

解:(I)因为函数有三个极值点,

所以有三个互异的实根.

     设

     当时, 上为增函数;

     当时, 上为减函数;

     当时, 上为增函数;

    所以函数时取极大值,在时取极小值.

    当时,最多只有两个不同实根.

    因为有三个不同实根, 所以.

    即,且,

解得.

   (II)由(I)的证明可知,当时, 有三个极值点.

     不妨设为(),则

     所以的单调递减区间是,

     若在区间上单调递减,

, 或,

  若,则.由(I)知,,于是

  若,则.由(I)知,

     又时,;

     当时,.

     因此, 当时,所以

反之, 当时,

总可找到使函数在区间上单调递减.

综上所述, 的取值范围是.

题型3:分段函数型

例6.(2009福建省)已知某企业原有员工2000人,每人每年可为企业创利润3.5万元.为应对国际金融危机给企业带来的不利影响,该企业实施“优化重组,分流增效”的策略,分流出一部分员工待岗.为维护生产稳定,该企业决定待岗人数不超过原有员工的5%,并且每年给每位待岗员工发放生活补贴O.5万元.据评估,当待岗员工人数x不超过原有员工1%时,留岗员工每人每年可为企业多创利润(1-)万元;当待岗员工人数x超过原有员工1%时,留岗员工每人每年可为企业多创利润O.9595万元.为使企业年利润最大,应安排多少员工待岗?

解  设重组后,该企业年利润为y万元.

∵2000×1%=20,∴当0<x≤20且x∈N时,

y=(2000-x)(3.5+1-)-0.5x=-5(x+)+9000.81.

∵x≤2000×5%  ∴x≤100,∴当20<x≤100且x∈N时,

y=(2000-x)(3.5+0.9595)-0.5x=-4.9595x+8919. 

 

当0<x≤20时,有

y=-5(x+)+9000.81≤-5×2+9000.81=8820.81,

当且仅当x=,即x=18时取等号,此时y取得最大值.

当20<x≤100时,函数y=-4.9595x+8919为减函数,

所以y<-4.9595×20+8919=8819.81.

综上所述x=18时,y有最大值8820.81万元.

即要使企业年利润最大,应安排18名员工待岗.

例7.(2008广东,17)

(本小题满分12分)

某单位用2160万元购得一块空地,计划在该地块上建造一栋至少10层、每层2000平方米的楼房.经测算,如果将楼房建为x(x≥10)层,则每平方米的平均建筑费用为560+48x(单位:元).为了使楼房每平方米的平均综合费用最少,该楼房应建为多少层?

(注:平均综合费用=平均建筑费用+平均购地费用,平均购地费用=)

[解析]设楼房每平方米的平均综合费为f(x)元,则

   

    ,   令  得 

   当  时,  ;当 时,

因此 当时,f(x)取最小值

答:为了楼房每平方米的平均综合费最少,该楼房应建为15层。

点评:本题主要考查由函数图象建立函数关系式和求函数最大值的问题.考查运用所学知识解决实际问题的能力.

题型4:三角函数型

例8.某港口水的深度y(m)是时间t(0≤t≤24,单位:h)的函数,记作y=f(t)。下面是某日水深的数据:

t/h
0
3
6
9
12
15
18
21
24
y/m
10.0
13.0
9.9
7.0
10.0
13.0
10.1
7.0
10.0

经长期观察,y=f(t)的曲线可以近似地看成函数y=Asinωt+b的图象。(1)试根据以上数据求出函数y=f(t)的近似表达式;(2)一般情况下,船舶航行时,船底离海底的距离为5m或5m以上时认为是安全的(船舶停靠时,船底只需不碰海底即可)。某船吃水深度(船底离水面的距离)为6.5m,如果该船希望在同一天内安全进出港,请问,它最多能在港内停留多少时间(忽进出港所需的时间)?

解析:题中直接给出了具体的数学模型,因此可直接采用表中的数据进行解答

(1)由表中数据易得,周期T=12,b=10,

所以

(2)由题意,该船进出港时,水深应不小于

5+6.5=11.5(m),

所以

化为

应有

解得12k+1≤t≤12k+5  (k∈Z)。

在同一天内取k=0或1,

所以1≤t≤5或13≤t≤17,

所以该船最早能在凌晨1时进港,最晚在下午17时出港,在港口内最多停留16个小时。

点评:三角型函数解决实际问题要以三角函数的性质为先,通过其单调性、周期性等性质解决实际问题。特别是与物理知识中的电压、电流、简谐振动等知识结合到到一块来出题,为此我们要对这些物理模型做到深入了解

题型5:不等式型

例9.(2009年上海卷理)有时可用函数

描述学习某学科知识的掌握程度,其中x表示某学科知识的学习次数(),表示对该学科知识的掌握程度,正实数a与学科知识有关。

(1)证明  当时,掌握程度的增加量总是下降;

(2)根据经验,学科甲、乙、丙对应的a的取值区间分别为

,,。当学习某学科知识6次时,掌握程度是85%,请确定相应的学科。

证明 (1)当

而当,函数单调递增,且>0……..3分

单调递减 

,掌握程度的增长量总是下降……………..6分

(2)由题意可知0.1+15ln=0.85……………….9分

整理得

解得…….13分

由此可知,该学科是乙学科……………..14分  

例10.(2008湖北,文、理19)

(本不题满分12分)

   如图,要设计一张矩形广告,该广告含有大小相等的左右两个矩形栏目(即图中阴影部分),这两栏的面积之和为18000cm2,四周空白的宽度为10cm,两栏之间的中缝空白的宽度为5cm,怎样确定广告的高与宽的尺寸(单位:cm),能使矩形广告面积最小?

解法1:设矩形栏目的高为a cm,宽为b cm,则ab=9000.            ①

广告的高为a+20,宽为2b+25,其中a>0,b>0.

广告的面积S=(a+20)(2b+25)

=2ab+40b+25a+500=18500+25a+40b

≥18500+2=18500+

当且仅当25a=40b时等号成立,此时b=,代入①式得a=120,从而b=75.

即当a=120,b=75时,S取得最小值24500.

故广告的高为140 cm,宽为175 cm时,可使广告的面积最小.

解法2:设广告的高为宽分别为x cm,y cm,则每栏的高和宽分别为x-20,其中x>20,y>25

两栏面积之和为2(x-20),由此得y=

广告的面积S=xy=x()=x,

整理得S=

因为x-20>0,所以S≥2

当且仅当时等号成立,

此时有(x-20)2=14400(x>20),解得x=140,代入y=+25,得y=175,

即当x=140,y=175时,S取得最小值24500,

故当广告的高为140 cm,宽为175 cm时,可使广告的面积最小.

点评:本题主要考查运用所学数学知识和方法解决实际问题的能力。以及函数概念、性质和不等式证明的基本方法。

题型6:指数、对数型函数

例11.有一个湖泊受污染,其湖水的容量为V立方米,每天流入湖的水量等于流出湖的水量。现假设下雨和蒸发平衡,且污染物和湖水均匀混合

,表示某一时刻一立方米湖水中所含污染物的克数(我们称其湖水污染质量分数),表示湖水污染初始质量分数。

(1)当湖水污染质量分数为常数时,求湖水污染初始质量分数;

(2)分析时,湖水的污染程度如何。

解析: (1)设

因为为常数,,即

(2)设

=

因为。污染越来越严重。

点评:通过研究指数函数的性质解释实际问题。我们要掌握底数两种基本情况下函数的性质特别是单调性和值域的差别,它能帮我们解释具体问题。譬如向题目中出现的“污染越来越严重”还是“污染越来越轻”

例12.现有某种细胞100个,其中有占总数的细胞每小时分裂一次,即由1个细胞分裂成2个细胞,按这种规律发展下去,经过多少小时,细胞总数可以超过个?(参考数据:).

解析:现有细胞100个,先考虑经过1、2、3、4个小时后的细胞总数,

  1小时后,细胞总数为

2小时后,细胞总数为

3小时后,细胞总数为

4小时后,细胞总数为

可见,细胞总数与时间(小时)之间的函数关系为: 

,得,两边取以10为底的对数,得

. 

答:经过46小时,细胞总数超过个。

点评:对于指数函数、对数函数要熟练应用近似计算的知识,来对事件进行合理的解析。

(2008广东文17)

(本小题满分12分)

某单位用2160万元购得一块空地,计划在该地块上建造一栋至少10层、每层2000平方米的楼房.经测算,如果将楼房建为x(x≥10)层,则每平方米的平均建筑费用为560+48x(单位:元).为了使楼房每平方米的平均综合费用最少,该楼房应建为多少层?

(注:平均综合费用=平均建筑费用+平均购地费用,平均购地费用=)

[解析]设楼房每平方米的平均综合费为f(x)元,则

   

    ,   令  得 

   当  时,  ;当 时,

因此 当时,f(x)取最小值

答:为了楼房每平方米的平均综合费最少,该楼房应建为15层。

试题详情

1.解决实际问题的解题过程

(1)对实际问题进行抽象概括:研究实际问题中量与量之间的关系,确定变量之间的主、被动关系,并用xy分别表示问题中的变量;

(2)建立函数模型:将变量y表示为x的函数,在中学数学内,我们建立的函数模型一般都是函数的解析式;

(3)求解函数模型:根据实际问题所需要解决的目标及函数式的结构特点正确选择函数知识求得函数模型的解,并还原为实际问题的解.

这些步骤用框图表示:

 

试题详情

函数应用问题是高考的热点,高考对应用题的考察即考小题又考大题,而且分值呈上升的趋势。高考中重视对环境保护及数学课外的的综合性应用题等的考察。出于“立意”和创设情景的需要,函数试题设置问题的角度和方式也不断创新,重视函数思想的考察,加大函数应用题、探索题、开放题和信息题的考察力度,从而使高考考题显得新颖、生动和灵活。

预测2010年的高考,将再现其独特的考察作用,而函数类应用题,是考察的重点,因而要认真准备应用题型、探索型和综合题型,加大训练力度,重视关于函数的数学建模问题,学会用数学和方法寻求规律找出解题策略。

(1)题型多以大题出现,以实际问题为背景,通过解决数学问题的过程,解释问题;

(2)题目涉及的函数多以基本初等函数为载体,通过它们的性质(单调性、极值和最值等)来解释生活现象,主要涉计经济、环保、能源、健康等社会现象

试题详情

2.收集一些社会生活中普遍使用的函数模型(指数函数、对数函数、幂函数、分段函数等)的实例,了解函数模型的广泛应用。

试题详情

1.利用计算工具,比较指数函数、对数函数以及幂函数增长差异;结合实例体会直线上升、指数爆炸、对数增长等不同函数类型增长的含义;

试题详情

1.学习这部分知识的时候,要掌握各种图形的形状、作用以及使用规则

试题详情

3.程序语言

程序语言是将自然语言和框图所表达的解决问题的步骤用特定的计算机所识别的低级和高级语言编写而成。特点:能在计算机上执行,但格式要求严格

程序框图

试题详情

2.程序框图

程序框图是用规定的图形符号来表达算法的具体过程。

优点是:简捷形象、步骤的执行方向直观明了

试题详情


同步练习册答案