题目列表(包括答案和解析)

 0  81007  81015  81021  81025  81031  81033  81037  81043  81045  81051  81057  81061  81063  81067  81073  81075  81081  81085  81087  81091  81093  81097  81099  81101  81102  81103  81105  81106  81107  81109  81111  81115  81117  81121  81123  81127  81133  81135  81141  81145  81147  81151  81157  81163  81165  81171  81175  81177  81183  81187  81193  81201  447348 

22. 某单位计划用36000元给职工定做制服,厂家说:“若定制的套数超过100套,每套可以优惠60元。”这样此单位用这笔钱就可以比原计划多定做30套制服,请你求出此单位原计划定做制服的套数。

试题详情

21. 如图,在正方形ABCD中,BE平分于F,交BD于G,交CD于H,请你写出图中所有与AE相等的线段,并证明你的结论。

试题详情

20. 如图(1)所示,一个矩形与一个正方形原来相距2cm。图(2)表示矩形在以1cm/s的速度“匀速行走”过程中被正方形挡住的面积S()(正方形不动)与矩形所走路程x(cm)之间的函数关系,请你根据图象求出:

(1)被正方形挡住的面积S最大时所持续的时间为几秒钟;

(2)当被正方形挡住的面积S为时,矩形所“行走”的时间为几秒钟。(写出计算过程)

试题详情

19. 用换元法解方程:

试题详情

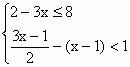
18. 求不等式组的整数解。

试题详情

17. 计算:

试题详情

16. 观察下列各式:

观察并找出上述等式所反映的规律,设n为正整数,用关于n的等式表示这个规律为________________________________________________。

试题详情

15. 如图,AB是⊙O的直径,弦CD与AB相交于点E,若________________,则(只需填写一个你认为适当的条件)。

试题详情

14. 如图,在中,,BD是的角平分线,若BD=13cm,BC=12cm,则点D到AB边的距离为________________cm。

试题详情

13. 请你写出一个顶点坐标为(-1,2)的二次函数的解析式________________。

试题详情


同步练习册答案