题目列表(包括答案和解析)

 0  94657  94665  94671  94675  94681  94683  94687  94693  94695  94701  94707  94711  94713  94717  94723  94725  94731  94735  94737  94741  94743  94747  94749  94751  94752  94753  94755  94756  94757  94759  94761  94765  94767  94771  94773  94777  94783  94785  94791  94795  94797  94801  94807  94813  94815  94821  94825  94827  94833  94837  94843  94851  447348 

11. 若,则的值是     .

试题详情

10.若ab,则的值是      .

试题详情

9.函数的定义域是       .

试题详情

8. 如图,设点P在△ABC内,且,则△ABP的面积与△ABC的面积之比为                                       (   )

A.     B.             C.          D.

试题详情

7.某农贸市场出售西红柿,当价格上涨时,供给量相应增加,而需求量相应减少,具体调查结果如下表:

表1 市场供给量

单价(元/kg)
2
2.4
2.8
3.2
3.6
4
供给量(1000kg)
50
60
70
75
80
90

表2 市场需求量

单价(元/kg)
4
3.4
2.9
2.6
2.3
2
需求量(1000kg)
50
60
65
70
75
80

根据以上提供的信息,市场供需平衡点(即供给量和需求量相等时的单价)应在区间(  )

A.(2.3,2.4)内                    B.(2.4,2.6)内

C.(2.6,2.8)内                  D.(2.8,2.9)内

试题详情

6.已知,则的值是                                       (   )

     A.                      B.0                   C.1                   D.

试题详情

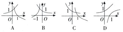
4. 函数()在同一坐标系中的图象可能是         (   )

5 已知的值是                                          (   )

     A.                                              B.

     C.                                             D.

试题详情

3. 化简cos2010°的结果是                                                         (   )

A.          2. 如图DEF分别是△ABC各边的中点,在以ABCDEF为起   B.             C.               D.

试题详情

2. 如图,DEF分别是△ABC各边的中点,在以ABCDEF为起点和终点的向量中,其中与相等的向量(不含)有    (   )

   A.1个                                        B.2个 

C.3个                                        D.4个

试题详情

1. 设集合,则                                 (   )

     A.                  B. {1}                   C. {}                 D. {}

试题详情


同步练习册答案