题目列表(包括答案和解析)

 0  99722  99730  99736  99740  99746  99748  99752  99758  99760  99766  99772  99776  99778  99782  99788  99790  99796  99800  99802  99806  99808  99812  99814  99816  99817  99818  99820  99821  99822  99824  99826  99830  99832  99836  99838  99842  99848  99850  99856  99860  99862  99866  99872  99878  99880  99886  99890  99892  99898  99902  99908  99916  447348 

5. 若函数的定义域是,则函数的定义域是    

试题详情

4.已知,则         

试题详情

3.如果数据x1x2、…、xn 的平均值为,方差为S2 ,则3x1+5、3x2+5、…、3xn+5 的方差为     .

试题详情

2.命题 “对任意,都有”的否定是         .

试题详情

1. 集合,则    .

试题详情

19、(8分)已知,如果,求实数的值.

试题详情

18、(9分)设,并且对任意

成立.

先计算的值,然后猜想的表达式。

试题详情

17、(9分)已知复数满足为实数,求

试题详情

5.059>

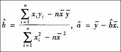
16(9分) 下表提供了某厂节能降耗技术改造后生产甲产品过程中记录的产量x(吨)与相应的生产能耗Y(吨标准煤)的几组对照数据

x
   3
   4
   5
   6
   y
   2.5
   3
   4
   4.5

(1)请画出上表数据的散点图;

(2)请根据上表提供的数据,最小二乘法求出Y关于x的线性回归方程Y=bx+a;

(3)已知该厂技改前100吨甲产品的生产能耗为90吨标准煤.试根据(2)求出的线性

同归方程,预测生产100吨甲产品的生产能耗比技改前降低多少吨标准煤?

(参考数值:3*2.5+4*3+54+6*4.5=66.5)

试题详情

15、(9分)班主任对全班50名学生进行了作业量多少的调查,喜欢玩电脑游戏的同学认为作业多的有18人,认为作业不多的有9人,不喜欢玩电脑游戏的同学认为作业多的有8人,认为作业不多的有15人,则认为喜欢玩电脑游戏与认为作业量的多少有关系的把握大约是多少?附表:的临界值表:


0.15
0.10
0.05
0.025
0.010
0.005
0.001
 
2.072
2.706
3.841
5.024
6.635
7.879
10.828

试题详情


同步练习册答案