0  173735  173743  173749  173753  173759  173761  173765  173771  173773  173779  173785  173789  173791  173795  173801  173803  173809  173813  173815  173819  173821  173825  173827  173829  173830  173831  173833  173834  173835  173837  173839  173843  173845  173849  173851  173855  173861  173863  173869  173873  173875  173879  173885  173891  173893  173899  173903  173905  173911  173915  173921  173929  447090 

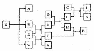
16.下图表示的反应关系中,部分产物被略去,已知1mol白色固体粉末X完全分解后,恢复到室温,生成白色固体A,无色液体B,无色气体C各1mol,X、D的焰色反应均为黄色,G是一种常见金属。

    请回答下列问题:

  (1)写出下列物质的化学式:X:        J:         

  (2)写出下列物质的电子式:C:        D:       

  (3)写出B+D→E+F反应的化学方程式               

  (4)写出下列反应的离子方程式

   G+E→I+H:                              

   C+I→J+A:                               

试题详情

15.甲、乙、丙三个实验小组分别进行测定Na2CO3和NaOH混合物中Na2CO3含量的实验。

  (1)甲组:沉淀分析法

m g混合物溶解后假如过量BaCl2,然后将所得沉淀过滤、洗涤、烘干、称量,固体质量为w g,根据沉淀质量计算原混合物中Na2CO3质量分数为     。写出反应的离子方程式         。如果原溶液中过量的Ba2+浓度达到0.01mol/L,则溶液中残留的CO32-的质量的量浓度是     。(Ksp(BaCO3)=2.58×10-9)

  (2)乙组:气体分析法

m g混合物与过量盐酸反应后,用如上图装置测定产生的CO2气体的体积,为减小CO2的溶解,B中溶液应是      ,选用该溶液后实验结果还是不准确,原因是    。针对上述问题,乙组同学改用测定反应结束后容器A中溶质质量的方法测定Na2CO3和NaOH混合物中Na2CO3含量,如果在加热蒸发的过程中操作不当引起固体飞溅,则测出的样品中Na2CO3的质量分数将     。(填“偏大”或“偏小”)

  (3)丙组:滴定分析法

称量m g混合物试样于锥形瓶中,加水使之溶解后,加酚酞指示液2滴,用c mol/LHCl标准滴定溶液至溶液由红色恰好变为无色(Na2CO3+HCl===NaHCO3+NaCl),消耗HCl 溶液V1mL,然后,加入甲基橙指示液1~2滴,继续用HCl标准滴定溶液滴定至溶液由黄色变为橙色(NaHCO3+HCl==NaCl+CO2↑+H2O),消耗HCl溶液V2mL。则样品中Na2CO3的质量分数为       

试题详情

14.多硫化钠Na2Sx()在结构上与Na2O2,FeS2等有相似之处,Na2Sx在碱性溶液中可被NaClO氧化成Na2SO4,而NaClO被还原成NaCl,反应中Na2Sx与NaClO的量之比为1:16,则x值是                 (   )

    A.5             B.4             C.3             D.2

第Ⅱ卷 (非选择题 共72分)

试题详情

13.一种碳纳米管(氢气)二次电池原理如下图,该电池的电解质为6mol/LKOH溶液,下列说法正确的是               (   )

    A.储存H2的碳纳米管作电池正极

    B.放电时负极附近pH减小

    C.放电时电池正极的电极反应为:NiO(OH)+H2O+e-==Ni(OH)2+OH-

    D.放电时,电池反应为2H2+O2→2H2O

试题详情

12.下列离子反应方程式正确的是                                      (   )

    A.用两个铜电极电解食盐水:2Cl-+2H2O2OH-+H2↑+Cl2

    B.李永刚腐蚀法制作印刷线路板:Fe3++Cu====Fe2++Cu2+

    C.Ca(HCO3)2溶液中假如过量KOH溶液:Ca2++HCO3-+OH-=CaCO3↓+H2O

    D.AlCl3溶液呈酸性的原因:Al3++3H2O   Al(OH)3+3H+

试题详情

11.某溶液中可能含有H+、Na+、NH4+、Mg2+、Fe3+、Al3+、SO42-、CO32-等离子。当向该溶液中加入一定物质的量浓度的NaOH溶液时,发现生成沉淀物质的量随NaOH溶液的体积变化的图象如下所示,下列说法正确的是     (   )

    A.原溶液中含有的阳离子是H+、NH4+、Mg2+、Al3+

    B.原溶液中一定含有SO42-和Na+

        C.原溶液中含有的Fe3+和Al3+的物质的量之比为1:1

    D.反应最后形成的溶液中含有的溶质为Na2SO4

试题详情

10.下列有关金属腐蚀与防护的说法正确的是                             (   )

    A.纯银器表面在空气中因化学腐蚀渐渐变暗

    B.当镀锡铁制品的镀层破损时,镀层仍能对铁制品起保护作用

    C.在海轮外壳连接锌块保护外壳不受腐蚀

    D.可将地下输油钢管与外加直流电源的正极相连以保护它不受腐蚀

试题详情

9.“人文奥运、科技奥运、绿色奥运”是2008年北京奥运会的重要特征。其中禁止运动员使用兴奋剂的重要举措之一。其中一种兴奋剂X的结构如下所示。下列说法不正确的是

                                                                (   )

 

    A.1molX与足量NaOH溶液反应,最多消耗3molNaOH

    B.1molX 与足量浓溴水反应,最多消耗3molBr2

    C.X遇FeCl3溶液显色,属于苯酚的同系物

    D.兴奋剂X所有碳原子有可能共平面

试题详情

8.早在1807年化学家戴维用电解熔融氢氧化钠制得钠,4NaOH(熔)4Na+O2+2H2O;

后来盖·吕萨克用铁与熔融氢氧化钠作用也制得钠,反应原理为3Fe+4NaOH Fe3O4+2H2↑+4Na↑。下列有关说法正确的是                             (   )

    A.电解熔融氢氧化钠制钠,阳极发生电极反应为: 2OH-+2e-==H2↑+O2

    B.盖·吕萨克法制钠原理是利用铁的还原性比钠强

    C.若戴维法与盖·吕萨克法制得等量的钠,则两反应中转移的电子总数也相同

    D.目前工业上常用电解熔融氯化钠法制钠(如图)电解槽中石墨极为阳极,铁为阴极二、不定项选择(本题包括6小题,每小题4分,共24分。每小题只有一个或两个选项符合题意。若正确答案只包括一个选项,多选时,该题为0分;若正确答案包括两个选项,只选一个且正确的得2分,选两个且都正确的得满分,但只要选错一个,该小题就为0分)

试题详情

7.X、Y、Z、W有如下图所示的转化关系,则X、W可能是                 (   )

    ①C、O2          ②AlCl3、NaOH     ③Fe、HNO3       ④S、O2

    A.①②③        B.①②          C.③④          D.①②③④

试题详情


同步练习册答案