0  250589  250597  250603  250607  250613  250615  250619  250625  250627  250633  250639  250643  250645  250649  250655  250657  250663  250667  250669  250673  250675  250679  250681  250683  250684  250685  250687  250688  250689  250691  250693  250697  250699  250703  250705  250709  250715  250717  250723  250727  250729  250733  250739  250745  250747  250753  250757  250759  250765  250769  250775  250783  447090 

1.   回答我国古代用诗歌形式提出的一个数列问题:

远望巍巍塔七层,红灯向下成倍增,

共灯三百八十一,试问塔顶几盏灯?

试题详情

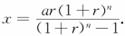
3.375‰,按复利计算,每月等额还贷一次,并从贷款后的次月初开始还贷.如果10年还清,那么每月应还贷多少元?

分析:对于分期付款,银行有如下规定:

(1)分期付款为复利计息,每期付款数相同,且在期末付款;

(2)到最后一次付款时,各期所付的款额的本利之和等于商品售价的本利之和.

为解决上述问题,我们先考察一般情形.设某商品一次性付款的金额为a元,以分期付款的形式等额地分成n次付清,每期期末所付款是x元,则分期付款方式可表示为:

从而有

运用等比数列求和公式,化简得

这就是分期付款的数学模型.

[解] 

追踪训练一

试题详情

3. 当时,,这里,但,这是等比数列前项和公式特征,据此判断数列是否为等比数列

[精典范例]

[例1]水土流失是我国西部大开发中最突出的生态问题.全国9100万亩的坡耕地需要退耕还林,其中西部地区占70%.国家确定2000年西部地区退耕土地面积为515万亩,以后每年退耕土地面积递增12%,那么从2000年起到2005年底,西部地区退耕还林的面积共有多少万亩(精确到万亩)?

[解]

[例2]某人2004年初向银行申请个人住房公积金贷款20万元购买住房,月利率

试题详情

2.若是等比数列,且公比,则数列 ,…是_____;

,且为偶数时,数列

 ,…是常数数列0,它不是等比数列.

试题详情

1.对于分期付款,银行有如下规定:

(1)分期付款为_______计息,每期付款数________,且在期末付款;

(2)到最后一次付款时,_______________

_____________等于商品售价的本利之和.

试题详情

2.提高分析、解决问题能力,能用等比数列的知识解决某些实际问题。

[自学评价]

试题详情

1.进一步熟练掌握等比数列的通项公式和前n项和公式;

试题详情

4.定义“等和数列”:在一个数列中,如果每一项与它的后一项的和都为同一常数,那么这个数列叫做等和数列,这个常数叫做该数列的公和。已知数列是等和数列,且,公和为5,求的值及这个数列的前项和.

[解]

试题详情

3.在等比数列{an}中,a1+a2=20,a3+a4=40,则S6=__ ___.

试题详情

2.在等比数列{an}中,已知a1=,前三项的和S3=,则公比q的值为__________.

试题详情


同步练习册答案