0  250626  250634  250640  250644  250650  250652  250656  250662  250664  250670  250676  250680  250682  250686  250692  250694  250700  250704  250706  250710  250712  250716  250718  250720  250721  250722  250724  250725  250726  250728  250730  250734  250736  250740  250742  250746  250752  250754  250760  250764  250766  250770  250776  250782  250784  250790  250794  250796  250802  250806  250812  250820  447090 

1. 求下列等比数列的公比、第5项和第n项:

(1)2,6,18,54,…; 

(2)7,

(3)0.3,-0.09,0.027,-0.0081,…;

(4)5, ,.

[答案]

(1)

(2)

(3)

(4)

试题详情

5.证明数列为等比数列:

①定义:证明=常数,

②中项性质:

[精典范例]

[例1]判断下列数列是否为等比数列:

(1)1,1,1,1,1;

(2)0,1,2,4,8;

(3)1,.

[解]

(1)所给数列是首项为1,公比为1的等比数列.

(2)因为0不能作除数,所以这个数列不是等比数列.

(3)所给数列是首项为1,公比为的等比数列.

[例2]求出下列等比数列中的未知项:

(1)2,a,8;

(2)-4,b,c,

[解]

(1)    根据题意,得

所以a=4或a=-4.

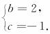
(2)  根据题意,得

解得

所以b=2,c=-1.

[例3]在等比数列{an}中,

(1)已知a1=3,q=-2,求a6

(2)已知a3=20,a6=160,求an

[解]

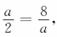
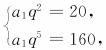
(1)由等比数列的通项公式,得

(2)设等比数列的公比为q,那么

所以

[例4]在243和3中间插入3个数,使这5个数成等比数列.

[解]设插入的三个数为,由题意知243,,3成等比数列.

设公比为q,则

因此,所求三个数为81,27,9,

或-81,27,-9.

追踪训练一

试题详情

4.等比中项的定义:如果a、G、b成等比数列,那么G叫做ab的等比中项.且

试题详情

3.既是等差又是等比数列的数列:非零常数列

试题详情

2.等比数列的通项公式

试题详情

1.等比数列:一般地,如果一个数列从第二项起,每一项与它的前一项的比等于同一个常数,那么这个数列就叫做等比数列.这个常数叫做等比数列的公比;公比通常用字母q表示(q≠0),即:=q(q≠0)

注:1°“从第二项起”与“前一项”之比为常数q

{}成等比数列=q(,q≠0)

2° 隐含:任一项

q= 1时,{an}为常数列.

试题详情

3. 掌握等比数列的通项公式,并能运用公式解决一些简单的实际问题.

[自学评价]

试题详情

2.类比等差数列的通项公式,探索发现等比数列的通项公式, 掌握求等比数列通项公式的方法,

试题详情

1.体会等比数列是用来刻画一类离散现象的重要数学模型,理解等比数列的概念,

试题详情

5.已知 ,求.

[解]

   

[师生互动]
学生质疑
 
 
 
教师释疑
 
 
 

 
 

试题详情


同步练习册答案