0  250608  250616  250622  250626  250632  250634  250638  250644  250646  250652  250658  250662  250664  250668  250674  250676  250682  250686  250688  250692  250694  250698  250700  250702  250703  250704  250706  250707  250708  250710  250712  250716  250718  250722  250724  250728  250734  250736  250742  250746  250748  250752  250758  250764  250766  250772  250776  250778  250784  250788  250794  250802  447090 

2.等比数列{an}中,a3=7,前 3项之和S3=21, 则公比q的值为(  C )

A.1           B.-

C.1或-      D.-1或

试题详情

1.在等比数列{an}中,Sn表示前n项和,若a3=2S2+1,a4=2S3+1,则公比q等于(  A )

A.3      B.-3  C.-1      D.1

试题详情

5.已知等比数列的公比为2,若前4项之和等于1,则前8项之和等于(  B )

A.15          B.17      C.19      D.21

[选修延伸]

[例4]是等比数列,是其前n项和,数列 ()是否仍成等比数列?

[解]

首项是,公比为q,

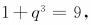
①当q=-1且k为偶数时,不是等比数列.

∵此时, =0.

例如:数列1,-1,1,-1,…是公比为-1的等比数列,S2=0,

②当q≠-1或k为奇数时,

()成等比数列

追踪训练二

试题详情

4.若等比数列{an}的前n项之和Sn=3n+a,则a等于(  D )

A.3       B.1      C.0      D.-1

试题详情

3.等比数列{an}的各项都是正数,若a1=81,a5=16,则它的前5项和是(  B )

A.179      B.211    C.243      D.275

试题详情

2.求下列等比数列的各项和:

(1)1,3,9,…,2187;

(2)1,,…,.

[答案](1)3280;(2)

试题详情

1.某厂去年的产值记为1,计划在今后五年内每年的产值比上年增长10%,则从今年起到第五年,这个厂的总产值为(C).

A.     B.

C. D.

试题详情

2.若数列{an}的前n项和Snp(1-qn),且p≠0,q≠1,则数列{an}是等比数列.

[精典范例]

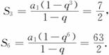
[例1]在等比数列{an}中,

(1)已知=-4,=12,求

(2)已知=1,=243,

=3,求

[解]

(1)根据等比数列的前n项和公式,得

(2)根据等比数列的前n项和公式,得

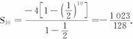
[例2]在等比数列{an}中,,求an.

[解]若q=1,则S6=2S3,这与已知是矛盾的,所以q≠1.从而

将上面两个等式的两边分别相除,得

所以q=2,由此可得,因此

点评:等比数列中五个基本量a1qannSn,知三可求二.

[例3]在等比数列{an}中,a1+an=66,a2·an1=128,且前n项和Sn=126,求n及公比q.

[解] ∵a1an=a2an1=128,又a1+an=66,

a1an是方程x2-66x+128=0的两根,

解方程得x1=2,x2=64,

a1=2,an=64或a1=64,an=2,显然q≠1.

a1=2,an=64,由=126

得2-64q=126-126q,

q=2,

an=a1qn1得2n1=32,

n=6.

a1=64,an=2,同理可求得q=,n=6.

综上所述,n的值为6,公比q=2或.

点评:等比数列中五个基本量a1qannSn,知三可求二,列方程组是求解的常用方法.解本题的关键是利用a1ana2an1,进而求出a1an,要注意a1an是两组解.

追踪训练一

试题详情

1.等比数列{an}的前n项和为Sn

时,

  或      ②

当q=1时,

当已知, q, n 时用公式①;

当已知, q, 时,用公式②.

试题详情

2.会用等比数列的前n项和公式解决有关等比数列的一些简单问题

[自学评价]

试题详情


同步练习册答案