0  250621  250629  250635  250639  250645  250647  250651  250657  250659  250665  250671  250675  250677  250681  250687  250689  250695  250699  250701  250705  250707  250711  250713  250715  250716  250717  250719  250720  250721  250723  250725  250729  250731  250735  250737  250741  250747  250749  250755  250759  250761  250765  250771  250777  250779  250785  250789  250791  250797  250801  250807  250815  447090 

2.数列1,,…的前100项的和为(  A  )

A.13    B.13 C.14  D.14

试题详情

1.等差数列{an}的前n项和Sn=2n2+n,那么它的通项公式是(  C  )

A.an=2n-1      B.an=2n+1

C.an=4n-1      D.an=4n+1

试题详情

5. 已知数列{an}的前n项和为Sn=4n2

n+2,则该数列的通项公式为(  B  )

A.an=8n+5(n∈N*)

B.an=

C.an=8n+5(n≥2)  

D.an=8n-5(n≥1).

[选修延伸]

[例5]设是等差数列,求证:以为通项公式的数列是等差数列。

[证明]设等差数列的公差为,前项的和为,则

(常数)

()。是等差数列。

[例6]已知等差数列{an}满足:SpqSqp,求Sp+q(其中pq).

[解]由已知SpqSqp

pa1+   ①

qa1+ ②   ①-②整理得 =-1 

=(p+q)=-(p+q)

点评:本问题即是在a1dnanSn中知三求二问题,但在解方程的过程中体现出了较高的技巧;本题有多种解法,也可考虑设SnAn2+Bn成等差数列去求解.

[追踪训练二]

试题详情

4. 在等差数列{an}中,已知a11=10,则S21=___210___

试题详情

3.一个等差数列的第5项等于10,前3项的和等于3,那么(  A  )

A.它的首项是-2,公差是3 

  B.它的首项是2,公差是-3 

C.它的首项是-3,公差是2  

D.它的首项是3,公差是-2 

试题详情

2.在等差数列{an}和{bn}中,a1=25,b1=75,a100+b100=100,则数列{an+bn}的前100项的和为(  D  )

A.0     B.100   C.1000    D.10000

试题详情

1.在等差数列{an}中,若S12=8S4,则等于( A  )

A.     B.   C.2       D.

试题详情

3.若已知等差数列{an}的前n项和为Sn,则an可用Sn表示:

[精典范例]

[例1] 在等差数列{an}中,

(1)已知,求

(2)已知,求

[解]

(1)根据等差数列前n项和公式,得

(2)根据等差数列前n项和公式,得

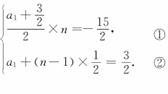
[例2]   在等差数列{an}中,已知,求n.

[解]由已知,得

由②,得

代入①后化简,得

点评:  在等差数列的通项公式与前n项和公式中,含有,d,n,五个量,只要已知其中的三个量,就可以求出余下的两个量.

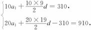
[例3]在等差数列{an}中,已知第1项到第10项的和为310,第11项到第20项的和为910,求第21项到第30项的和.

[解]

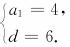
解得

思维点拔

数列{an}是等差数列,前项和是,那么仍成等差数列,公差为(为确定的正整数)

[例4]根据数列{an}的前n项和公式,判断下列数列是否是等差数列.

(1)Sn=2n2n 

(2)Sn=2n2n+1

[解] (1)a1S1=1 

 当n≥2时,anSnSn1

=(2n2n)-[2(n-1)2-(n-1)]

=2(2n-1)-1=4n-3

n=1 时也成立,

an=4n-3 

an+1an=[4(n+1)-3]-[4n-3]=4∴{an}成等差数列

(2)a1S1=2  

a2S2S1=5 

 a3S3S2=9 

 ∵a2a1a3a2 

 ∴{an}不是等差数列.

点评: 已知Sn,求an,要注意a1S1,当n≥2时anSnSn1

因此an.

[追踪训练一]:

试题详情

2.若数列{an}的前n项和SnAn2+Bn,则数列{an}为 等差数列 .

试题详情

1. 等差数列的前项和:

公式1:

公式2:

试题详情


同步练习册答案