0  260132  260140  260146  260150  260156  260158  260162  260168  260170  260176  260182  260186  260188  260192  260198  260200  260206  260210  260212  260216  260218  260222  260224  260226  260227  260228  260230  260231  260232  260234  260236  260240  260242  260246  260248  260252  260258  260260  260266  260270  260272  260276  260282  260288  260290  260296  260300  260302  260308  260312  260318  260326  447090 

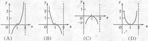
6.(2009日照一模)(函数的图象如右图所示,则函数的图象大致是

答案 C

试题详情

5.(2009日照一模)(6)函数的零点一定位于区间

    A.(1,2)  B.(2,3)  C.(3,4)   D.(4,5)

答案 A

试题详情

4.(2009青岛一模)设奇函数上为增函数,且,则不等式的解集为

A. B. C.  D.

答案 D

试题详情

3.(2009临沂一模)设f(x)是连续的偶函数,且当x >0时是单调函数,则满足f(2x)=f()的所有x之和为

A、      B、     C、-8      D、8

答案 C

试题详情

2.(2009临沂一模)已知函数f(x)=,若x0是方程f(x)=0的解,且0<x1<x0,则f(x1)的值为

A.恒为正值     B.等于0    C.恒为负值    D.不大于0

答案 A

试题详情

1.(2009聊城一模)已知函数上的奇函数,

  当x>0时,的大致图象为               (   )

答案 B

试题详情

14.(2009广东三校一模)设函数.

(1)求的单调区间;

(2)若当时,(其中)不等式恒成立,求实数的取值范围;

(3)试讨论关于的方程:在区间上的根的个数.

解  (1)函数的定义域为.   1分

;                            2分          

,                        3分

则增区间为,减区间为.                     4分

(2)令,由(1)知上递减,在上递增,                                    6分

,且,           8分

时, 的最大值为,故时,不等式恒成立.                                   9分

(3)方程.记,则

.由;由.

所以g(x)在[0,1]上递减,在[1,2]上递增.

而g(0)=1,g(1)=2-2ln2,g(2)=3-2ln3,∴g(0)>g(2)>g(1)         10分

所以,当a>1时,方程无解;

当3-2ln3<a≤1时,方程有一个解,

当2-2ln2<a≤a≤3-2ln3时,方程有两个解;

当a=2-2ln2时,方程有一个解;

当a<2-2ln2时,方程无解.                        13分

字上所述,a时,方程无解;

或a=2-2ln2时,方程有唯一解;

时,方程有两个不等的解.                 14分

9月份更新

试题详情

10.(江西师大附中2009届高三数学上学期期中)

已知定义域为R的函数是奇函数.

(1)求a,b的值;

(2)若对任意的,不等式恒成立,求k的取值范围.

解  (1) 因为是R上的奇函数,所以

从而有 又由,解得

(2)解法一:由(1)知

由上式易知在R上为减函数,又因是奇函数,从而不等式

等价于

是R上的减函数,由上式推得

即对一切从而

解法二:由(1)知

又由题设条件得

整理得,因底数2>1,故

上式对一切均成立,从而判别式

试题详情

9.(江西南昌新民外语学校09届高三第一次月考)函数的定义域

     

答案     

试题详情

8.(2009中学第六次月考)定义区间的长度为,已知函数

的定义域为,值域为,则区间的长度的最大值与最小值的差为      .

答案  3

试题详情


同步练习册答案