0  260125  260133  260139  260143  260149  260151  260155  260161  260163  260169  260175  260179  260181  260185  260191  260193  260199  260203  260205  260209  260211  260215  260217  260219  260220  260221  260223  260224  260225  260227  260229  260233  260235  260239  260241  260245  260251  260253  260259  260263  260265  260269  260275  260281  260283  260289  260293  260295  260301  260305  260311  260319  447090 

2.(2009厦门二中)有解的区域是                (    )

A.    B.        C.    D.

答案  B

试题详情

1.(2009泉州市)函数f(x)=log2x+2x-1的零点必落在区间            (    )

A.        B.       C.       D.(1,2)

答案  C

试题详情

2009年联考题

试题详情

9.(2008年湖北卷20).(本小题满分12分)水库的蓄水量随时间而变化.现用表示时间,以月为单位,年初为起点.根据历年数据,某水库的蓄水量(单位:亿立方米)关于的近似函数关系式为

(Ⅰ)该水库的蓄求量小于50的时期称为枯水期.以表示第i月份(),问一年内哪几个月份是枯水期?

(Ⅱ)求一年内该水库的最大蓄水量(取计算).

解 (1)①当0<t10时,V(t)=(-t2+14t-40)

化简得t2-14t+40>0,

解得t<4,或t>10,又0<t10,故0<t<4.

②当10<t12时,V(t)=4(t-10)(3t-41)+50<50,

化简得(t-10)(3t-41)<0,

解得10<t,又10<t12,故 10<t12.

综上得0<t<4,或10<t12,

故知枯水期为1月,2月,,3月,4月,11月,12月共6个月.

(2)由(1)知:V(t)的最大值只能在(4,10)内达到.

V(t)=V(t)=0,解得t=8(t=-2舍去).

t变化时,V(t) V (t)的变化情况如下表:

t
(4,8)
8
(8,10)
V(t)
+
0
-
V(t)

极大值

由上表,知V(t)在t=8时取得最大值V(8)=8e2+50=108.32(亿立方米).

故知一年内该水库的最大蓄水量是108.32亿立方米

试题详情

8.(2008年江苏卷17)某地有三家工厂,分别位于矩形ABCD

的顶点A,B 及CD的中点P处,已知AB=20km,CB=10km ,

为了处理三家工厂的污水,现要在矩形ABCD 的区域上

(含边界),且A,B与等距离的一点O 处建造一个

污水处理厂,并铺设排污管道AO,BO,OP,设排污管道的总长 

km.

(Ⅰ)按下列要求写出函数关系式:

①设∠BAO=(rad),将表示成的函数关系式;

②设OP(km) ,将表示成的函数关系式.

(Ⅱ)请你选用(Ⅰ)中的一个函数关系式,确定污水处理厂的位置,使三条排污管道总长度最短.

解  本小题主要考查函数最值的应用.

(Ⅰ)①设AB中点为Q,由条件知PQ 垂直平分AB,若∠BAO=(rad) ,则

, 故,又OP=

所以

所求函数关系式为

②若OP=(km) ,则OQ=10-,所以OA=OB=

所求函数关系式为

(Ⅱ)选择函数模型①,

得sin,因为,所以=.当时,的减函数;当时,,y是的增函数.所以当=时,(km)。这时点0位于线段AB 的中垂线上,且距离AB边km处。

试题详情

7.(2006年北京卷14)某校数学课外小组在坐标纸上,为学校的一块空地设计植树方案如下:第棵树种植在点处,其中,当时,

表示非负实数的整数部分,例如.按此方案,第6棵树种植点的坐标应为   ;第2008棵树种植点的坐标应为  

答案  (1,2)(3,402)

试题详情

6.(2007年上海4)方程 的解是          

答案    

试题详情

5.(2006年上海春季2)方程的解     .

答案  2

试题详情

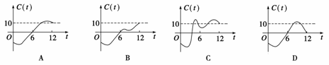
4.某地一年内的气温(单位:℃)与时刻(月份)之间的关系如图所示,已知该年的平均气温为10℃ .令C(t)表示的时间段[0,t]的平均气温,

C(t)与t之间的函数关系用下列图象表示,则正确的应该是   (    )

答案  A

解析  由图可以发现当t=6时,C(t)=0,排除C;t=12时,C(t)=10,排除D;t在大于6 的某一段气温超于10,所以排除B,故选A。

试题详情

3.(07广东)客车从甲地以60km/h的速度匀速行驶1小时到达乙地,在乙地停留了半小时,然后以80km/h的速度匀速行驶1小时到达丙地,下列描述客车从甲地出发.经过乙地,最后到达丙地所经过的路程s与时间t之间关系的图象中,正确的是     (   )

A          B            C              D

答案  C

试题详情


同步练习册答案