题目列表(包括答案和解析)

 0  169932  169940  169946  169950  169956  169958  169962  169968  169970  169976  169982  169986  169988  169992  169998  170000  170006  170010  170012  170016  170018  170022  170024  170026  170027  170028  170030  170031  170032  170034  170036  170040  170042  170046  170048  170052  170058  170060  170066  170070  170072  170076  170082  170088  170090  170096  170100  170102  170108  170112  170118  170126  447348 

21.按照经典的电子理论,电子在金属中运动的情形是这样的:在外加电场的作用下,自由电子发生定向运动,便产生了电流。电子在运动的过程中要不断地与金属离子发生碰撞,将动能交给金属离子,而自己的动能降为零,然后在电场的作用下重新开始加速运动(可看作匀加速运动),经加速运动一段距离后,再与金属离子发生碰撞。电子在两次碰撞之间走的平均距离叫自由程,用表示。电子运动的平均速度用表示,导体单位体积内自由电子的数量为n,电子的质量为,电子的电荷量为,电流的表达式I=nes。请证明金属导体的电阻率=

试题详情

20.压敏电阻的阻值随所受压力的增大而减小,右位同学利用压敏电阻设计了判断小车运动状态的装置,其工作原理如图6(a)所示,将压敏电阻和一块挡板固定在绝缘小车上,中间放置一个绝缘重球。小车向右做直线运动过程中,电流表示数如图6(b)所示,下列判断正确的是(    )

A.从t1t2时间内,小车做匀速直线运动

B.从t1t2时间内,小车做匀加速直线运动

C.从t2t3时间内,小车做匀速直线运动

D.从t2t 3时间内,小车做匀加速直线运动

试题详情

19.如图22所示电路,电键K原来是闭合的,当R1、R2的滑片刚好处于各自的中点位置时,悬在空气平板电容器C两水平极板间的带电尘埃P恰好处于静止状态。要使尘埃P加速向上运动的方法是:(    )

A、把R1的滑片向上移动;

B、把R2的滑片向上移动;

C、把R2的滑片向下移动;

D、把电键K断开。

试题详情

18.如图所示的电路中,电池的电动势为 E,内阻为 r,电路中的电阻 R1、R2 和 R3 的阻值都相同。在电键 S处于闭合状态下,若将电键 S1 由位置 1切换到位置 2,则(  )

A.电压表的示数变大

B.电池内部消耗的功率变大

C.电阻 R2 两端的电压变大

D.电池的效率变大

试题详情

17. 如右图所示,电灯A标有“10V,10W”,电灯B标有“8V,20W”,滑动变阻器

的总电阻为6Ω,当滑动触头由a端向b端滑动的过程中(不考电灯电阻的变化)(   )  B

A.  电流表示数一直减小,电压表示数一直增大

B.  电流表示数一直增大,电压表示数一直减小

C.  电流表示数先增大后减小,电压表示数先减小后增大;

D.  电流表示数先减小后增大,电压表示数先增大后减小。

试题详情

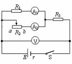
16.在如图所示的电路中,E为电源电动势,r为电源内阻,R1R3均为定值电阻

R2为滑动变阻器。R2的滑动触点在a端时合上开关S,此时三个电表A1、A2和V

的示数分别为I1I2U。现将R2的滑动触点向b端移动,则三个电表示数的变化

情况是          (   )

A.I1增大,I2不变,U增大

B.I1减小,I2增大,U减小

C.I1增大,I2减小,U增大

D.I1减小,I2不变,U减小

试题详情

15.下列是由基本门电路组成的逻辑电路,其中能使小灯泡发光的是(   )

试题详情

14.在如图所示的电路中,电源两端AB间的电压恒定不变。开始时S断开,电容器上充有电荷。闭合S后,以下判断正确的是(    )

A.C1所带电量增大,C2所带电量减小

B.C1所带电量减小C2所带电量增大

C.C1C2所带电量均减小

D.C1C2所带电量均增大

试题详情

13.如图电路中,L1L2两盏灯完全相同。当滑动变阻器的滑动头向左移动时(   )

A.L1变亮,L2亮     B.L1变暗,L2变亮

C.L1变暗,L2变暗     D.L1变亮,L2变暗

试题详情

12.如图所示,将一根粗细均匀的电阻丝弯成一个闭合的圆环,接入电路中,电路与圆环的O点固定,P为与圆环良好接触的滑动头。闭合开关S,在滑动头P缓慢地由m点经n点移到q点的过程中,电容器C所带的电荷量将(  )

A.由小变大      B.由大变小

C.先变小后变大    D.先变大后变小

试题详情


同步练习册答案