题目列表(包括答案和解析)

 0  50334  50342  50348  50352  50358  50360  50364  50370  50372  50378  50384  50388  50390  50394  50400  50402  50408  50412  50414  50418  50420  50424  50426  50428  50429  50430  50432  50433  50434  50436  50438  50442  50444  50448  50450  50454  50460  50462  50468  50472  50474  50478  50484  50490  50492  50498  50502  50504  50510  50514  50520  50528  447348 

11.点p到点A(  ,0),B(a,2)及到直线x=-  的距离都相等,如果这样的点恰好只有一

个,那么a的值是

 

A.        B.          C.   或         D.-  或

 

试题详情

10.已知函数f(x)=2sin(ωx+  )图象与直线y=1的交点中,距离最近两点间的距离为  ,那

   么此函数的周期是

A .        B.         C.2π        D.4π

 

试题详情

9.把正整数按下图所示的规律排序,则从2003到2005的箭头方向依次为

试题详情

8.如果方程      表示双曲线,则下列椭圆中,与该双曲线共焦点的是

  

A.                   B.

C.                   D.

试题详情

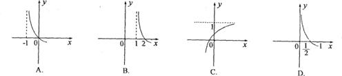
7.已知f(x)=ax(a>0且a≠1),f-1(2)<0,则f-1(x+1)的图象是

试题详情

6.方程Ax+By+C=0表示倾斜角为锐角的直线,则必有:

   A. A﹒B>0   B.A﹒B<0      C.A>0且B<0    D.A>0或B<0

试题详情

5.已知奇函数f(x)的定义域为:{xx+2-a|<aa>0},则a的值为

   A.1      B.2         C.3        D.4

试题详情

4.已知α、β都是第二象限角,且cos  >cosβ,则

   A . <β    B.sin  >sinβ    C.tan  >tanβ   D.cot  <cotβ

试题详情

  1.如果向量  =(k,1),与  = (4,k)共线且方向相反,则k =

   A.±2     B.-2    C.2    D.0

  2.函数f(x)=(  )x(1<x≤2)的反函数f-1(x)等于

   A.log  x(1<x≤2)             B. log  x(2<x≤4)   

 

  C.-log2x(  ≤x<  ﹞          D. -log2x(  ≤x<1)

3.已知P={xx≤0},Q={xx<  },则Q∩CRP等于

 

A.{xx≤0}        B.{x︱0≤x< }

C. {x|0<x<  }        D.  {x|x>0}                                                                                  

试题详情

22.(12分)设是由正数组成的数列,其前n项和为

且满足关系:                

(1)求数列的通项公式(写出推导过程);

(2)若,求

解:(1)当时,,解得

时,,解得

时,,解得

猜想……4分

证明:当时,成立。

假设当时,

    当时,猜想成立,

    当为任意正整数时,都有。    …… 8分

……12分
 
(2)
 
       

试题详情


同步练习册答案