0  132019  132027  132033  132037  132043  132045  132049  132055  132057  132063  132069  132073  132075  132079  132085  132087  132093  132097  132099  132103  132105  132109  132111  132113  132114  132115  132117  132118  132119  132121  132123  132127  132129  132133  132135  132139  132145  132147  132153  132157  132159  132163  132169  132175  132177  132183  132187  132189  132195  132199  132205  132213  447090 

17.如图所示,∠2是∠l的2倍,则∠2等于________________________

试题详情

16.下列函数① 是一次函数的有______________________(填序号)

试题详情

15.(的积中不含的二次项,则m的值是__________________

试题详情

14.计算:(1)(-2)7÷(-2)4=___________________;

   (2)()·()=____________________________

试题详情

13.已知 ,则的值为_______________________

试题详情

12.0.0000123用科学记数法表示为(   )

    A.1.23×       B.1.23×       C.-l.23×      D.-l.23×

试题详情

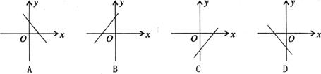
11.一次函数的图象大致是(   )

试题详情

10.下列说法错误的是(   )

    A.必然发生的事件的概率为l            B.不可能发生的事件发生的概率为0

    C.随机事件发生的概率大于0小于l        D.不确定事件发生概率为0

试题详情

9.等腰三角形的周长是21cm,如果它的一边长为6cm,则其他两边长为(   )

     A.6cm、9cm                        B.7.5cm、7.5cm

    C.6cm、7.5cm                       D.7.5cm、7.5cm或6cm、9cm

试题详情

8.如图,是象棋盘的一部分,若位于点(1,一2)上,位于点(3,一2)上,则位于点(   )

     A.(-1,1)       B.(-1,2)        C.(-2,1)       D.(-2,2)

试题详情


同步练习册答案