0  158732  158740  158746  158750  158756  158758  158762  158768  158770  158776  158782  158786  158788  158792  158798  158800  158806  158810  158812  158816  158818  158822  158824  158826  158827  158828  158830  158831  158832  158834  158836  158840  158842  158846  158848  158852  158858  158860  158866  158870  158872  158876  158882  158888  158890  158896  158900  158902  158908  158912  158918  158926  447090 

7.已知,则的最小值是(   )

A.2        B.        C.4        D.5

试题详情

6.下列关系式中正确的是(   )

A.    B.  

C.    D.

试题详情

5.设是公差不为0的等差数列,成等比数列,则的前项和=(   )

A.    B.     C.     D.

试题详情

4.已知向量平行,则实数的值是(   )

A.-2           B.0            C.1            D.2

试题详情

3.的展开式中的系数是(   )

A.20          B.40          C.80          D.160

试题详情

2.命题“若一个数是负数,则它的平方是正数”的逆命题是(   )

A.“若一个数是负数,则它的平方不是正数”

B.“若一个数的平方是正数,则它是负数”

C.“若一个数不是负数,则它的平方不是正数”

D.“若一个数的平方不是正数,则它不是负数”

试题详情

1.圆心在轴上,半径为1,且过点(1,2)的圆的方程为(   )

A.             B.

C.         D.

试题详情

(17)(本小题满分10分)

等比数列{}的前n 项和为,已知,,成等差数列

  (1)求{}的公比q;

  (2)求-=3,求

(18)(本小题满分12分)

如图,A,B,C,D都在同一个与水平面垂直的平面内,B,D为两岛上的两座灯塔的塔顶。测量船于水面A处测得B点和D点的仰角分别为,于水面C处测得B点和D点的仰角均为,AC=0.1km。试探究图中B,D间距离与另外哪两点距离相等,然后求B,D的距离(计算结果精确到0.01km,1.414,2.449)

(19)(本小题满分12分)

如图,已知两个正方形ABCD 和DCEF不在同一平面内,M,N分别为AB,DF的中点。

(I)若CD=2,平面ABCD⊥平面DCEF,求直线MN的长;

(II)用反证法证明:直线ME 与 BN 是两条异面直线。

(20)(本小题满分12分)

某企业有两个分厂生产某种零件,按规定内径尺寸(单位:mm)的值落在(29.94,30.06)的零件为优质品。从两个分厂生产的零件中个抽出500件,量其内径尺寸,的结果如下表:

    甲厂

分组
[29.86,
29.90)
[29.90,
29.94)
[29.94,
29.98)
[29.98,
30.02)
[30.02,
30.06)
[30.06,
30.10)
[30.10,
30.14)
频数
12
63
86
182
92
61
4

乙厂:

分组
[29.86,
29.90)
[29.90,
29.94)
[29.94,
29.98)
[29.98,
30.02)
[30.02,
30.06)
[30.06,
30.10)
[30.10,
30.14)
频数
29
71
85
159
76
62
18

(1)试分别估计两个分厂生产的零件的优质品率;

(2)由于以上统计数据填下面列联表,并问是否有99%的把握认为“两个分厂生产的零件的质量有差异”。

 
甲 厂
   乙 厂
  合计
优质品
 
 
 
  非优质品
 
 
 
  合计
 
 
 

附:

(21)(本小题满分12分)

,且曲线y=f(x)在x=1处的切线与x轴平行。

(Ⅰ)求a的值,并讨论f(x)的单调性;

(Ⅱ)证明:当

(22)(本小题满分12分)

已知,椭圆C以过点A(1,),两个焦点为(-1,0),(1,0)。

(Ⅰ)求椭圆C的方程;

(Ⅱ)E,F是椭圆C上的两个动点,如果直线AE的斜率与AF的斜率互为相反数,证明直线EF的斜率为定值,并求出这个定值。

试题详情

(13)在平面直角坐标系xoy中,四边形ABCD的边AB//DC,AD//BC,已知点A(-2,0),B(6,8),C(8,6),则D点的坐标为___________.

(14)已知函数的图象如图所示,则 =        

(15)若函数处取极值,则      

(16)设某几何体的三视图如下(尺寸的长度单位为m)。

    则该几何体的体积为           

试题详情

(1)已知集合M=﹛x|-3<x5﹜,N=﹛x|x<-5或x>5﹜,则MN=

A.﹛x|x<-5或x>-3﹜   B.﹛x|-5<x<5﹜

C.﹛x|-3<x<5﹜     D.﹛x|x<-3或x>5﹜

(2)已知复数,那么=

A.     B.  C.      D.

(3)已知为等差数列,且-2=-1, =0,则公差d=

A.-2           B.-       C.       D.2

(4)平面向量a与b的夹角为,a=(2,0), | b |=1,则 | a+2b |=

A.         B.2      C.4       D.12

(5)如果把地球看成一个球体,则地球上的北纬纬线长和赤道长的比值为

A.0.8           B.0.75       C.0.5    D.0.25

(6)已知函数满足:x4,则=;当x<4时=,则=

A.          B.       C.    D.

(7)已知圆C与直线x-y=0 及x-y-4=0都相切,圆心在直线x+y=0上,则圆C的方程为

A.   B.

C.   D.

(8)已知

A.               B.          C.   D.

(9)ABCD为长方形,,O为AB的中点。在长方形ABCD内随机取一点,取到的点到O的距离大于1的概率为

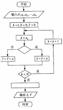
A.           B.       C.         D.

(10)某店一个月的收入和支出总共记录了N个数据,…,,其中收入记为正数,支出记为负数。该店用右边的程序框图计算月总收入S和月净盈利V,那么在图中空白的判断框和处理框中,应分别填入下列四个选项中的

A.A>0,V=S-T    B.A<0,V=S-T   C.A>0, V=S+T   D.A<0, V=S+T

(11)下列4个命题

    

>   

其中的真命题是

A.   B.   C.  D.

(12)已知偶函数在区间单调增加,则满足的x 取值范围是

A.()   B.[)   C.()   D.[)

第II卷

试题详情


同步练习册答案