0  158811  158819  158825  158829  158835  158837  158841  158847  158849  158855  158861  158865  158867  158871  158877  158879  158885  158889  158891  158895  158897  158901  158903  158905  158906  158907  158909  158910  158911  158913  158915  158919  158921  158925  158927  158931  158937  158939  158945  158949  158951  158955  158961  158967  158969  158975  158979  158981  158987  158991  158997  159005  447090 

11.为了测算如图阴影部分的面积,作一个边长为6的正方形将其包含在内,并向正方形内随机投掷800个点。已知恰有200个点落在阴影部分,据此,可估计阴影部分的面积是___.

试题详情

9.已知函数满足,且当时,,  则的大小关系是                                     (   )

A.             B.

C.             D.

20090415
 
10.的展开式中,的系数可以表示从n个不同物体中选出k个的方法总数。下列各式的展开式中的系数恰能表示从重量分别为1、2、3、…、10克的砝码(每种砝码各一个)中选出若干个,使其总重量恰为8克的方法总数的选项是                      (   )

A.  

B.

C.

D.

第Ⅱ卷(非选择题  共100分)

试题详情

8.  已知直线与直线互相垂直,则的最小值为(   )

    A.5             B.4             C.2             D.1

试题详情

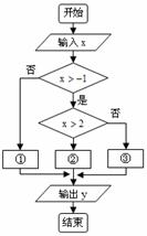
7.  下图是计算函数的值的程序框图,在①、②、③处应填入的是(  )

    A.           B.

    C.          D.

试题详情

6.  关于函数图像的对称性,下列说法正确的是           (   )

    A.关于直线对称              B.关于直线对称

    C.关于点对称               D.关于点对称

试题详情

5.  设为不重合的平面,m、n为不重合的直线,则下列命题正确的是     (   )

    A.若,则

    B.若,m∥n,则

    C.若m∥,n∥,mn,则

    D.若,则

试题详情

4.  函数的图像大致为                                     (   )

A               B         C              D

试题详情

3.  “”是“直线与圆相交”的                  (   )

    A.充分而不必要条件               B.必要而不充分条件

    C.充分必要条件                   D.既不充分也不必要条件

试题详情

2.  设向量,且,则锐角为            (   )

    A.            B.            C.            D.

试题详情

1.  已知,i为虚数单位,若,则x的值等于         (   )

   A.           B.           C.2             D.6

试题详情


同步练习册答案