0  159731  159739  159745  159749  159755  159757  159761  159767  159769  159775  159781  159785  159787  159791  159797  159799  159805  159809  159811  159815  159817  159821  159823  159825  159826  159827  159829  159830  159831  159833  159835  159839  159841  159845  159847  159851  159857  159859  159865  159869  159871  159875  159881  159887  159889  159895  159899  159901  159907  159911  159917  159925  447090 

14.数列中,是方程的两个根,则数列的前5项和 等于      。

试题详情

13.已知函数,则       。

试题详情

12.已知函数,若对于任一实数 至少有一个为正数,则实数的取值范围是                (   )

A.     B.     C.     D.

第Ⅱ卷(非选择题,共90分)

试题详情

11.在等差数列中,公差的等比中项,已知数列成等比数列,则数列的通项公式是       (   )

   A.    B.    C.    D.

试题详情

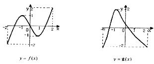
10.已知函数的图象如下所示                 

    给出下列四个命题:

  (1)方程有且仅有6个根   (2)方程有且仅有3个根

  (3)方程有且仅有5个根   (4)方程有且仅有4个根

    其中正确的命题个数是               (   )

    A.4个           B.3个           C.2个           D.1个

试题详情

9.如果数列满足,且(≥2),则这个数列的第10项等于                                               (   )

    A.          B.          C.           D.

试题详情

8.如果关于x的方程上有解,则有                (   )

A.         B.        C.      D.

试题详情

7.已知奇函数的定义域为,且对任意正实数恒有,则一定有                           (   )

    A.       B.    

     C.      D.

试题详情

6.若奇函数满足,则等于  (   )

A.0           B.1          C.             D.

试题详情

5.已知等差数列满足则有          (   )

A.  B.  C.    D.

试题详情


同步练习册答案