0  173763  173771  173777  173781  173787  173789  173793  173799  173801  173807  173813  173817  173819  173823  173829  173831  173837  173841  173843  173847  173849  173853  173855  173857  173858  173859  173861  173862  173863  173865  173867  173871  173873  173877  173879  173883  173889  173891  173897  173901  173903  173907  173913  173919  173921  173927  173931  173933  173939  173943  173949  173957  447090 

17.下列说法不正确的是                                             (   )

   A.Na2CO3 比NaHCO3 易溶于水      

   B.Na2CO3 比NaHCO3 难分解

   C.溶质的物质的量浓度相同时,NaHCO3溶液比Na2CO3 溶液的碱性强

   D.与足量盐酸反应得到相同质量的CO2,所用NaHCO3比Na2CO3 的质量要少

试题详情

16.检验下列物质X是否已部分被氧化变质, 所选用的试剂Y正确的是          (   )   

选项
A
B
C
D
X
Na2SO3溶液
FeCl2溶液
NaBr溶液
H2S溶液
Y
BaCl2溶液
KSCN溶液
淀粉试液
NaOH溶液

试题详情

15.赤铜矿的成份是Cu2O,辉铜矿的成份是Cu2S,将赤铜矿与辉铜矿混合加热有以下反应:2Cu2O + Cu2S6Cu + SO2  对于该反应,下列说法中错误的是        (   )

  A.反应中铜元素既被氧化又被还原      B.还原产物与氧化产物的物质的量之比为6:1

  C.Cu2O在反应中只作氧化剂        D.反应中被氧化的元素是S

试题详情

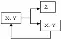
14.工业生产中物质的循环利用有多种模式,符合下图所示,说法正确的是 (   )

A.可表示工业冶炼镁Cl2的循环

B.可表示电解饱和食盐水中NaCl的循环

C.可表示氨氧化法制硝酸中NO的循环

D.可表示合成氨中的N2、H2的循环

试题详情

13.铜片放入稀硫酸中无现象,当再加入一种盐后铜片会逐渐溶解,则加入的盐是(   )

  A.Zn(NO3)2                   B.Na2CO3      

C.MgCl2                          D.CuSO4

试题详情

12.根据某元素的原子结构示意图做出如下推理,其中与事实不符的是(   )

A.该原子不如氮原子和硫原子的得电子能力强

B.该元素形成的单质均很稳定

C.该元素位于元素周期表的第VA族

D.该元素最高价氧化物对应的水化物是弱酸

试题详情

11.用NA  表示阿伏加德罗常数,下列叙述中正确的是                      (   )

   A.醋酸的摩尔质量与NA个醋酸分子的质量在数值上肯定不相等

B.标准状况下,33.6L H2O中含有1.5 NA个H2O分子

C.标况下,22.4L氨气所含电子数为7NA                               

D.1 mol钠与氧气反应生成Na2O或Na2O2时,失电子数目均为NA 

试题详情

10.下列各项中在容量瓶上必须表明的是                                (   )

①容量            ②刻度线         ③温度           ④压强 

⑤物质的量浓度                     ⑥用于配制酸溶液或碱溶液

A.①②③           B.①③⑤         C.②④⑥        D.①②③⑤⑥

试题详情

9.下列反应的离子方程式正确的是                                     (   )

A.用FeCl3溶液腐蚀铜板制印刷电路板:2Fe3++Cu = 2Fe2++Cu2+

B.碳酸氢钠的水解:HCO3+ H2O = H3+O + CO32

C.漂白粉溶液中通入过量的CO2: Ca2+ + 2ClO + CO2 + H2O = CaCO3↓+ 2HClO

D.实验室用浓盐酸与MnO2反应制Cl2:MnO2+2H++2Cl  Cl2↑+Mn2++H2O

试题详情

8.下列各项中的两个量,其比值一定为2:1的是                         (   )

A.相同温度下,0.2mol·L-1醋酸溶液与0.1mol·L-1醋酸中的c(H+ )之比

B.液面均在“0”刻度时,50ml碱式滴定管和25ml碱式滴定管所盛溶液的体积之比

C.在Na2O2晶体中阳离子与阴离子的物质量之比

D.22.4LCO2与22.4L CO所含氧原子数目之比

试题详情


同步练习册答案