0  173955  173963  173969  173973  173979  173981  173985  173991  173993  173999  174005  174009  174011  174015  174021  174023  174029  174033  174035  174039  174041  174045  174047  174049  174050  174051  174053  174054  174055  174057  174059  174063  174065  174069  174071  174075  174081  174083  174089  174093  174095  174099  174105  174111  174113  174119  174123  174125  174131  174135  174141  174149  447090 

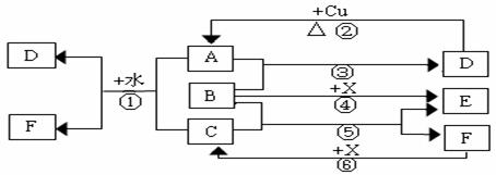
29.(12分)已知A-F是中学化学中常见物质,其中A、C、E、F为气体,B、D为液体,D的消费量常作为一个国家工业发达水平的一种标志,F的浓溶液与X共热通常用于实验室制备单质C,X是一种黑色粉末,B分子中有18个电子。反应中部分生成物已略去。试回答下列问题:

(1)根据图中信息,B、C、D、X氧化性从强到弱的顺序是      。(填化学式)

(2)B的电子式为:               

(3)写出反应②的化学方程式:                          

(4)写出反应⑤、⑥的离子方程式

 ⑤________________________________________        __________;

   ⑥_____________________________________        _____________。

试题详情

28.(14分)短周期的六种元素A、B、C、X、Y、Z原子序数依次减小,其中X、Y、Z原子核外电子层数之和是5。X元素原子最外层上的电子数是Y和Z两元素原子最外电子层上的电子数的总和;Y元素原子的最外层上的电子数是它的电子层数的2倍,X和Z可形成XZ3的化合物;C与X处于同周期,B+和C2-的核外电子排布相同  A、B处于同周期,且形成BA型化合物。请回答:

⑴Y元素的名称是:          C2-的离子结构示意图是为:      

⑵A、B、C的离子半径由大到小的顺序为:        (用离子符号表示)

⑶化合物XZ4A中所含有的化学键类型为:          YZ4空间构型为   

⑷元素组成为XZ5YC3和BCZ化合物的溶液之间反应的离子方程式:         

(5)2.3克B在O2中充分燃烧,放出a kJ的热量(),写出表示B燃烧的热化学方程式                     

试题详情

27.(16分)由几种离子化合物组成的混合物,含有以下离子中的若干种:K+、C1-、NH4+、Mg2+、Ba2+、CO32-、、SO42-。将该混合物溶于水后得澄清溶液,现取3份100mL该溶液分别进行如下实验:

实验序号
实验内容
实验结果
1
加AgNO3溶液
有白色沉淀生成
2
加足量NaOH溶液并加热
收集到气体1.12L(已折算成标准状况下的体积)
3
加足量BaC12溶液时,对所得沉淀进行洗涤、干燥、称量;再向沉淀中加足量稀盐酸,然后干燥、称量
第一次称量读数为6. 27g,第二次称量读数为2.33g

试回答下列问题:

(1)根据实验1对C1-是否存在的判断是      (填“一定存在”、“一定不存在”或“不能确定”);根据实验1-3判断混合物中一定不存在的离子是        

(2)试确定溶液中一定存在的阴离子及其物质的量浓度(可不填满):

阴离子符号
物质的量浓度(mol·L-1)
 
 
 
 

(3)试确定K+是否存在?         ,判断的理由是            

                                    

试题详情

26.(18分)某校化学课外小组为了鉴别碳酸钠和碳酸氢钠两种白色固体,用不同的方法做了以下实验,如图Ⅰ~Ⅳ所示。

(1)只根据图I、II所示实验,能够达到实验目的是(填装置序号)__________________;

(2)图III、IV所示实验均能鉴别这两种物质,其反应的化学方程式为  __________________

________、________________________________;与实验III相比,实验IV的优点是(填选项序号)___________________

A.IV比III复杂     B.IV比III安全   

     C.IV可以做到用一套装置同时进行两个对比实验,而III不行 

(3)若用实验IV验证碳酸钠和碳酸氢钠的稳定性,则试管B中装入的固体最好是__________________; 

(4)将碳酸氢钠溶液与澄清石灰水混合并充分反应。

①当石灰水过量时,其离子方程式为___________________         

②当碳酸氢钠与氢氧化钙物质的量之比为2 : 1时,所得溶液中溶质的化学式为___________________,请设计实验检验所得溶液中溶质的阴离子。

                                   

_____________________________________________________________________。

试题详情

13.水热法制备Fe3O4纳米颗粒的反应是3Fe2++2S2O32-+O2+xOH-==Fe3O4+S4O62-+2H2O下列说法中,正确的是

     A.每生成1mol Fe3O4,反应转移的电子总数为3mol  

B.Fe2+和S2O32-都是还原剂

    C.1mol Fe2+被氧化时,被Fe2+还原的O2的物质的量为1/3mol   

D.x=2

第II卷

注意:1.本卷共10题,共174分;

试题详情

12.有下列物质:①石墨  ②铜丝  ③氧气  ④二氧化碳  ⑤食盐  ⑥硫酸  ⑦水  ⑧硫酸钡  ⑨金刚石,以下组合正确的是

 A.能导电的有①②⑤⑦     B.属于电解质的有④⑤⑥⑦⑧

C.属于强电解质的有⑤⑧⑨   D.既不属于电解质又不属于非电解质的有①②③⑨

试题详情

11.为验证浓硫酸与碳反应的气体产物中含SO2和CO2,通常是让气体通过适量品红溶液,然后通过足量KMnO4溶液,最后通过澄清石灰水,在这过程中SO2和CO2表现出的性质是

①SO2的漂白性;     ②SO2的氧化性;     ③SO2的还原性;

④SO2酸性氧化物;   ⑤CO2酸性氧化物;   ⑥CO2的氧化性。

    A.①③⑤       B.①②④⑤       C.②③⑤⑥    D.①④⑤⑥

试题详情

10.X、Y、Z、W四种元素在周期表中相对位置如图,Y、Z质子数之和为21,下列说法正确的是

 
X
 
Y
Z
 
W
 

A.常压下,四种元素单质中,W单质的熔点最高

   B.X的气态氢化物比Y的气态氢化物稳定

   C.Z的阳离子与Y的阴离子电子层结构相同

   D.W元素的金属性比Z元素金属性强.

试题详情

9.某10% NaOH溶液,加热蒸发掉100g水后得到80mL20%的溶液,则该20% NaOH溶液的物质的量浓度为      

A.6.25mol/L        B.12.5mol/L      C.7mol/L        D.7.5mol/L

试题详情

8.运用元素周期律知识分析下面的推断,其中正确的是 

   A.锂(Li)在氧气中剧烈燃烧,产物是Li2O2,其溶液是一种强碱;

B.砹(At)为有色固体,HAt不稳定,AgAt感光性很强,但溶于水也溶于稀酸

C.硫酸锶(SrSO4)是难溶于水的固体 

D.硒化氢(H2Se)是无色、有毒,比H2S更稳定的气体

试题详情


同步练习册答案