0  173944  173952  173958  173962  173968  173970  173974  173980  173982  173988  173994  173998  174000  174004  174010  174012  174018  174022  174024  174028  174030  174034  174036  174038  174039  174040  174042  174043  174044  174046  174048  174052  174054  174058  174060  174064  174070  174072  174078  174082  174084  174088  174094  174100  174102  174108  174112  174114  174120  174124  174130  174138  447090 

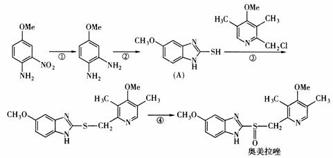
25.(11分)奥美拉唑(Omeprazole)是基于2005年诺贝尔医学奖成果研制的药物,该药物对幽门螺旋杆菌引起的胃及十二指肠溃疡根治率最高。奥美拉唑的合成路线如下(Me表示甲基):

试回答下列问题:

(1)奥美拉唑的分子式是:         

(2)指出下列反应的类型:①     ;③       

(3)反应②是与一种无机小分子在氢氧化锂催化下发生的反应,二者各一分子反应在得到A的同时还得到一分子的硫化氢,则该无机小分子的化学式为:    

(4)反应④是用液态氧化剂氧化而发生的反应,除生成奥美拉唑外还生成水,请写出④的化学反应方程式:               

(5)根据结构判断奥美拉唑可能发生的化学反应是:      

A.与氢氧化钠发生水解反应      B.能与氯气发生加成反应

C.与乙酸发生酯化反应        D.能使酸性高锰酸钾溶液褪色

试题详情

24.(9分) 水体中二价汞离子可以与多种阴离子结合成不同的存在形态。水溶液中二价汞主要存在形态与的浓度关系如下图所示[注:粒子浓度很小时常用负对数表示,如pH=一lgc(),pCl=一lgc()]。

(1)正常海水(的浓度大于0.1mol/L) 中汞元素的主要存在形态是    

少量Hg(NO3)2溶于0.001mol/L的盐酸后得到无色透明溶液,其中汞元素的主要存在形态是     

(2)Hg(NO3)2固体易溶于水,但溶于水时常常会出现浑浊,其原因是    (用离子方程式表示)    ,为了防止出现浑浊,可采取的措施是   

(3)处理含汞废水的方法很多。下面是常用的两种方法,汞的回收率很高。

  ①置换法:用废铜屑处理含的废水。反应的离子方程式为     

  ②化学沉淀法:用硫化钠处理含Hg(NO3)2的废水,生成HgS沉淀。已知

  Ksp(HgS)=1.6×10-52(mol/L)2,当废水中c(S2-)=1×10-5mol/L时,c(Hg2+)=    

试题详情

23.(14分)下图是工业生产硝酸铵的流程。

(1)吸收塔C中通入空气的目的是      。A、B、C、D四个容器中的反应,属于氧化还原反应的是      (填字母)。

(2)已知:4NH3(g)+3O2(g)=2N2(g)+6H2O(g)  △H=一1266.8kJ/mol

      N2(g)+O2(g)=2NO(g)      △H=+180.5 kJ/mol

写出氨高温催化氧化的热化学方程式:      ,氨催化氧化反应的化学平衡常数表达式K=     

(3)已知:N2(g)+3H2(g)2NH3(g)   △H=一92 kJ/mol。为提高氢气的转化率,宜采取的措施有       。(填字母)

    A.升高温度     B.使用催化剂     C.增大压强

    D.循环利用和不断补充氮气和氢气   E.及时移出氨

(4)在一定温度和压强下,将H2和N2按3:1(体积比)在密闭容器中混合,当该反应达到平衡时,测得平衡混合气中NH3的气体体积分数为17.6%,此时H2的转化率为   

试题详情

22.(8分)单质A、B、C在常温下均为气态,分别由X、Y、Z三种短周期元素组成;Z元素的原子次外层电子数比最外层电子数多1;G是常见的金属单质,D在常温下为液态,H是一种黑色固体。各物质间的转化关系如下图所示(反应条件多数已略去);

(1)写出D分子的电子式    

(2)G与D在高温下反应的化学方程式为        

(3)以石墨为电极电解E的水溶液,其阳极电极反应式为    

(4)实验室检验F的水溶液中所含金属阳离子的操作方法、现象和结论是     

试题详情

21.(10分)无水AlCl3可用作有机合成的催化剂、食品膨松剂等。工业上制备无水AlCl3的方法是:将一定粒度的铝土矿(主要成分是A12O3和Fe2O3)和石油焦(主要成分是C)按一定配比投入焙烧炉中加热至800℃,再将焙烧过的物料投入到氯化炉中,然后通入Cl2和O2,于950℃在石油焦还原剂的存在下,Al2O3跟Cl2反应,生成气态的AlCl3,经冷却后得到氯化铝粗产品(杂质的成分是FeCl3)。尾气中含有大量CO和少量Cl2,用碱液或Na2SO3溶液除去Cl2,并回收CO。精制AlCl3粗产品一般用升华法。在升华器内,加入NaCl固体,同时加入少量某种物质X,将FeCl3杂质还原成Fe作为废渣除去,再经升华就得到精制的AlCl3。回答下列问题:

(1)氯化炉中通入O2的目的是         

(2)氯化炉中Al2O3、C12和C反应的化学方程式是        

(3)用Na2SO3溶液处理尾气时发生反应的离子方程式是         

(4)精制AlCl3粗产品时,需加入少量物质X。X可能是下列物质中的      。(填字母)

    A.FeCl2固体    B.Fe粉    C.Al粉

(5)精制无水AlCl3合格品中,AlCl3的质量分数不得低于96%。现称取16.25g精制后的无水 AlCl3样品,溶于过量的NaOH溶液,过滤出沉淀物,沉淀物经洗涤、灼烧、冷却、称重,其残留固体质量为0.16g。试计算该样品中AlCl3的质量分数(写出计算过程,并注意相应单位的数值的小数位)。

试题详情

20.(15分)硝酸钾在水里的溶解度是指在一定温度下,硝酸钾在100g水中达到饱和状态时能溶解的克数。它随温度的升高而增大,随温度的降低而减小。把一定量硝酸钾在较高温度下溶于一定量的水中,当温度降到溶液里刚有晶体析出时,这时的温度可作为饱和溶液的温度(或在恒温下制成饱和溶液)。根据测得的温度和已知硝酸钾及水的量,就能算出硝酸钾在某一温度的溶解度。

[实验步骤]

(1) 准确称量(天平)干燥的蒸发皿的质量并记录为m1g;

(2) 在恒温水浴加热下,配制硝酸钾饱和溶液;

(3) 取一定量的硝酸钾饱和溶液用倾析法倾入蒸发皿中,称量并记录为m2g;

(4) 加热蒸发皿中的溶液至蒸干,放入干燥器内冷却后称量并记录为m3g;

(5) 根据上述公式计算S;

(6) 重复上述操作,取两次测定结果的平均值。

根据实验,回答下列问题:

(1)配制硝酸钾的饱和溶液时,必须水浴加热,原因是_________________。

(2)请在答卷方框内画出制取硝酸钾饱和溶液实验装置图,并注明容器内的所用试剂。(铁架台、铁夹、石棉网、酒精不需要画出)

为了保证溶液达到饱和,实验操作是_______________________。 如果实验过程中把蒸发皿放在空气中冷却,没有在干燥器中冷却,会造成实验结果________(“偏高”、“偏低”、“不变”);使用温度计时仰视温度计刻度读数,会造成实验结果________(“偏高”、“偏低”、“不变”)。

(3)请计算在该温度下溶解度为s=______________________________

(4)下图中A点表示t℃时该溶液为_____________(“饱和”、“不饱和”)溶液,欲将A点的溶液恢复到饱和溶液,应采取的措施是①_____________________,②______________(写两条)

(5)如果硝酸钾中含有少量氯化钠杂质,如何除去,请扼要写出实验步骤_______。

试题详情

18.工业上制备纯硅反应的热化学方程式如下:

SiCl4(g)+2H2(g)=Si(s)+4HCl(g);(Q>0)

某温度、压强下,将一定量反应物通入密闭容器进行以上反应(此条件下为可逆反应),下列叙述正确的是

A.反应过程中,若增大压强能提高SiCl4的转化率

B.若反应开始时SiCl4为1 mol,则达平衡时,吸收热量为Q kJ

C.反应至4 min时,若HCl浓度为0.12 mol/L,则H2的反应速率为0.03 mol/(L·min)

D.当反应吸收热量为0.025Q kJ时,生成的HCl通入100 mL 1 mol/L的NaOH溶液恰好反应

试题详情

17.氮化铝(AlN)具有耐高温、抗冲击、导热性好等优良性质,被广泛应用于电子工业、陶瓷工业等领域。在一定条件下,氮化铝可通过如下反应合成:

Al2O3+N2+3C == 2AlN+3CO 下列叙述正确的是

    A.在氮化铝的合成反应中,N2是还原剂,Al2O3是氧化剂

    B.上述反应中每生成2molAlN,N­2得到的3mol电子

    C.氮化铝中氮元素的化合价为-3

    D.氮化铝晶体属于分子晶体

试题详情

16.在pH为4-5的环境中,Cu2+、Fe2+不生成沉淀,而Fe3+几乎完全沉淀。工业上制CuCl2是将浓盐酸用蒸汽加热到80℃左右,再慢慢加入粗氧化铜(含杂质FeO),充分搅拌使之溶解。欲除去溶液中的杂质离子,下述方法正确的是

A.加入纯Cu将Fe2+还原

B.向溶液中加入(NH4)2S使Fe2+沉淀

C.直接加水加热使杂质离子水解除去

D.在溶液中通入Cl2,再加入CuO粉末调节pH为4-5

试题详情


同步练习册答案