0  174142  174150  174156  174160  174166  174168  174172  174178  174180  174186  174192  174196  174198  174202  174208  174210  174216  174220  174222  174226  174228  174232  174234  174236  174237  174238  174240  174241  174242  174244  174246  174250  174252  174256  174258  174262  174268  174270  174276  174280  174282  174286  174292  174298  174300  174306  174310  174312  174318  174322  174328  174336  447090 

26.(16分,每空2分)

V、U、W、S、X、Y、Z七种原子序数依次递增的短周期元素,已知:

①V与U、W、S均能形成10电子和18电子的两种共价化合物A1、A2;B1、B2;C1、C2。其中A1、B1、C1为10e-微粒,A2、B2、C2为18e-微粒。

②S能与X形成两种离子化合物D1,D2,且晶体中阳离子与阴离子个数比均为2:1.

③S与Y的阴离子带有相同的电荷数

④Z-离子最外层电子数等于次外层电子数。

回答下列问题:

(1)写出A1的空间构型:____________________;C2的电子式:_____________________;

(2)制取Z单质的工业名称叫__________________工业;化工原理(用离子方程式表示)______________________________________________________________________;

(3)V、W、S、Y四种元素组成原子个数比NV:NW:NS:NY=8:2:4:1的化合物分子式为________________;水溶液呈________性(填“酸性”、“中性”“碱性”);原因(用离子方程式表示):___________________________________________;

(4)B2可作为“绿色”火箭推进剂,已知16g液态B2与液态C2反应,当生成两种气态物质时放出321.1kJ热量,写出该反应的热化学方程式:____________________________.

试题详情

13.常温下,0.1mol·L-1某一元酸(HA)溶液中,下列叙述正确的是(   )

A.该溶液中水电离出的

B.该溶液中

C.该溶液与0.05溶液等体积混合后:

D.向溶液中加入一定量NaA晶体或加水稀释,溶液中增大

试题详情

12.下列关于化工生产原理的叙述中,均符合目前工业生产实际的是(   )

A.氯碱工业中,电解糟的阳极区产生NaOH

B.氯气和氢气混合在光照条件下生成氯化氢,用水吸收得到盐酸

C.合成氨工业中,由于氨易液化,N2、H2循环使用,所以总体上氨的产率很高

D.二氧化硫在接触室被氧化成三氧化硫,三氧化硫在吸收塔内被水吸收制成浓硫酸

试题详情

11.在复杂的体系中,研究化学反应的先后顺序有利于解决问题,下列化学反应先后顺序判断正确的是(   )

A.含有等物质的量的的溶液中逐滴加入盐酸:

B.含有等物质的量的溶液中缓缓通入

C.在等物质的量的和KOH溶液中缓缓通入

D.在含有等物质的量的的溶液中逐渐加入锌粉:

试题详情

10.在同一溶液中,含有等离子,则该溶液的pH和介质是(   )

A.pH=1,硝酸溶液为介质        B.pH=3,硫酸溶液为介质

C.pH=8,次氯酸钠溶液为介质         D.pH=12,氨水为介质

试题详情

9.T℃时,反应物生成物均为气体的某反应,反应过程中浓度C的变化如图甲所示;若保持其他条件不变时,温度分别为时,X的体积分数、温度与时间关系如图乙所示。则下列结论正确的是(   )

A.在t1时间内,用X表示反应的平均速率为0.6mol/L·min

B.在(t1+10)min时,保持其他条件不变,增大压强平衡向逆反应方向移动

C.T℃时,在相同容器内若由0.1mol/LX,0.3mol/LY,0.4mol/LZ进行反应,平衡时Z的浓度仍为0.4mol/L

D.其他条件不变,温度升高时,正逆反应速率都加快,Y的转化率也加大

试题详情

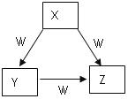
8.X、Y、Z、W是中学化学常见的四种物质,他们之间具有如图所示转化关系,则下列组合不可能的是(   )

 
X
Y
Z
W
A
P
PCl3
PCl5
Cl2
B
Na
Na2O
Na2O2
O2
C
AlCl3
Al(OH)3
NaAlO2
NaOH
D
Fe
FeCl2
FeCl3
Cl2

试题详情

7.下列化学药品的贮存方法正确的是(   )

A.新制氯水存放在带玻璃塞的无色细口瓶中

B.少量白磷存放在

C.碳酸钠固体保存在带橡胶塞的广口瓶中

D.NaF溶液保存在带橡胶塞的细口瓶中

试题详情

6.今有①;②;③;④等四种溶液,向各种溶液中分别加入少量NaOH固体,少量浓盐酸,几滴酸性高锰酸钾溶液,其离子数目都减少的是(   )

A.①④            B.只有①          C.只有④          D.②③

试题详情

31.(13分)X、Y、Z、Q、E五种元素中,X原子核外的M层中只有两对成对电子,Y原子核外的L层电子数是K层的两倍,Z是地壳内含量(质量分数)最高的元素,Q的核电荷数是X与Z的核电荷数之和,E在元素周期表的各元素中电负性最大。请回答下列问题:

(1)X.Y的元素符号依次为           

(2)XZ2与YZ2分子的立体结构分别是            ,相同条件下两者在水中的溶解度较大的是      (写分子式),理由           

(3)Q的元素符号是     ,它的核外电子排布式            

(4)用氢键表示式写出E的氢化物溶液中存在的所有氢键       

试题详情


同步练习册答案