0  174095  174103  174109  174113  174119  174121  174125  174131  174133  174139  174145  174149  174151  174155  174161  174163  174169  174173  174175  174179  174181  174185  174187  174189  174190  174191  174193  174194  174195  174197  174199  174203  174205  174209  174211  174215  174221  174223  174229  174233  174235  174239  174245  174251  174253  174259  174263  174265  174271  174275  174281  174289  447090 

20.(11分)在80℃时,将0.40mol的N2O4气体充入2L已经抽空的固定容积的密闭容器中,发生如下反应:N2O4 2NO2,隔一段时间对该容器内的物质进行分析,得到如下数据:

(1)计算20s一40s内用N2O4表示的平均反应速率为           mol· L-1·S-1

(2)计算在80℃时该反应的平衡常数K=     (请注明单位)。

(3)反应进行至100s后将反应混合物的温度降低,混合气体的颜色(填“变浅”、“变深”或“不变”)       

(4)要增大该反应的K值,可采取的措施有(填序号)       

A.增大N2O4的起始浓度            B.向混合气体中通入NO2

C.使用高效催化剂                D.升高温度

(5)如图是80℃时容器中N2O4物质的量的变化曲线,请在该图中补画出该反应在60℃时N2O4物质的量的变化曲线。

试题详情

19.(10分)实验室需要制备纯净的氯化钾。现有含少量KBr和K2SO4的氯化钾样品,按照下图所示的实验方案进行提纯。

   (1)检验加入BaCl2溶液后SO是否沉淀完全的操作为         

   (2)若用硝酸钡来代替氯化钡,请判断是否可行,并说明理由:      

   (3)某同学认为该实验方案中加适量氯化钡溶液不容易控制,应加入过量氯化钡溶液他的思路如下,请写出方框内或横线①②③④5中溶质或沉淀(或物质)的化学式:________________________________________________________________________

试题详情

18.Fe2O3、ZnO、CuO的固体混合粉末2g,在加热条件下用足量CO还原,得到金属混合物4.82g,将生成的CO2气体用足量的澄清石灰水吸收后,产生l0.00g白色沉淀,则a 的数值为

   A.14.82          B.4.92        C.6 42         D.7.18

试题详情

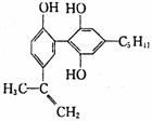
17.举办“人文奥运”的一个重要体现就是禁止运动员服用兴奋剂。有一种兴奋剂的结构简   式如下图,下列有关该物质的说法不正确的是

   A.该分子中所有碳原子一定共存于同一平面中

   B.1mol该物质与足量浓溴水反应时,至少消耗4molBr2

C.该物质属于酚类物质,遇到FeCl3:溶液有可能发生显色反应

D.该物质能使酸性KMnO4溶液褪色,即可证明其分子必存在碳碳双键

试题详情

16.下列实验报告记录的实验现象正确的是

试题详情

15.用标准的KOH溶液滴定未知浓度的盐酸,若测定结果偏低,其原因可能是

A.配制标准溶液的固体KOH中混有NaOH杂质

B.滴定终点读数时,俯视滴定管的刻度,其他操作正确

C.盛装未知液的锥形瓶用蒸馏水洗过后再用未知液润洗

D.滴定到终点读数时,发现滴定管尖嘴处悬挂一滴溶液

试题详情

14.向盛有NaHSO4溶液的烧杯中不断滴加Ba(OH)2溶液,随着Ba(OH)2的不断滴入,溶液中产生的沉淀量与溶液的pH变化情况正确的是

试题详情

13.有两个分别装有Na2CO3和NaHCO3固体的试剂瓶,因标签失落而无法区分。有4位同学为鉴别它们,分别设计了下列四种不同的方法,其中可行的是

A.分别取样配成溶液,再加入澄清石灰水,观察是否有沉淀生成

B.分别取样后,加入相同浓度和相同体积的稀盐酸,观察反应的快慢

C.分别取样加热,再检验是否有使澄清石灰水变浑浊的气体产生

D.分别取样配成溶液,在火焰上灼烧,观察火焰的颜色

试题详情

12.除去下列物质中所含少量杂质的方法不正确的是

试题详情

11.在容积固定的密闭容器中存在如下反应:N2(g)+3H22NH3(g)△H<O某研究小组研究了其他条件不变时,改变某一条件对上述反应的影响,并根据实验数据作出如下关系图:

下列叙述正确的是

A.图I研究的是温度对反应的影响,且甲的温度比乙高

B.图Ⅱ研究的是压强对反应的影响,且甲的压强比乙大

C.图Ⅱ研究的是温度对反应的影响,且甲的温度比乙高

D.图Ⅲ研究的是不同催化剂对反应的影响,且乙使用的催化剂效率比甲高

试题详情


同步练习册答案