0  174244  174252  174258  174262  174268  174270  174274  174280  174282  174288  174294  174298  174300  174304  174310  174312  174318  174322  174324  174328  174330  174334  174336  174338  174339  174340  174342  174343  174344  174346  174348  174352  174354  174358  174360  174364  174370  174372  174378  174382  174384  174388  174394  174400  174402  174408  174412  174414  174420  174424  174430  174438  447090 

以下数据可供解题时参考:可能用到的原子量  H-1、C-12、O-16、S-32、Cu-64、Si-28

6.下列叙述中错误的是

A.电解池的阳极上发生氧化反应,阴极上发生还原反应

B.原电池跟电解池连接后,电子从电池负极流向电解池阳极

C.电镀时,通常把待镀的金属制品作阴极

D.电解饱和食盐水时,阴极得到氢氧化钠溶液和氢气

试题详情

21.选做题  本题有A、B两题,分别对应于“物质结构与性质”和“实验化学”二个选修课程模块的内容,每题12分。请选择其中一题作答,并把所选题目对应字母后的方框涂黑。若两题都作答,将按A题评分。

A.《物质结构与性质》

    均由两种短周期元素组成的A、B、C、D化合物分子,都含有18个电子,它们分子中所含原子的数目依次为2、3、4、6。A和C分子中的原子个数比为1∶1,B和D分子中的原子个数比为1∶2。D可作为火箭推进剂的燃料。

请回答下列问题:

(1)A、B、C、D分子中相对原子质量较大的四种元素第一电离能由大到小排列的顺序为

      (用元素符号回答)。

(2)A与HF相比,其熔、沸点较低,原因是               

(3)B分子的空间构型为   形,该分子属于     分子。(填“极性”或“非极性”)

(4)C为一种绿色氧化剂,有广泛应用。请写出Cu、稀H2SO4与C反应制备硫酸铜的离子方程式        ,该反应中反应物Cu原子的基态电子排布式为      。铜晶体中铜原子的堆积方式为面心立方堆积,下图是铜晶体一个晶胞的示意图,则晶胞中含

     个铜原子。

(5)D分子中心原子的杂化方式是   ,由该原子组成的单质分子中包含  个π键,与该单质分子互为等电子体的常见分子的分子式为      

B.《实验化学》

乙酰水杨酸(阿斯匹林)是一种常用的解热镇痛、抗风湿类药物,广泛应用于临床治疗和预防心脑血管疾病,近年来还不断发现它的新用途,它可由水杨酸和乙酸酐反应得到。

在生成乙酰水杨酸的同时,水杨酸分子间也能发生缩合反应,生成少量聚合物(副产物)。合成乙酰水杨酸的实验步骤如下:

① 向150mL干燥锥形瓶中加入2g水杨酸、5mL乙酸酐和5滴浓硫酸,振荡,待其溶解后,控制温度在85-90℃条件下反应5-10min。然后冷却,即有乙酰水杨酸晶体析出。

② 减压过滤,用滤液淋洗锥形瓶,直至所有晶体被收集到布氏漏斗中。抽滤时用少量冷水洗涤晶体几次,继续抽滤,尽量将溶剂抽干。然后将粗产品转移至表面皿上,在空气中风干。

③ 将粗产品置于100mL烧杯中,搅拌并缓慢加入25mL饱和碳酸氢钠溶液,加完后继续搅拌2-3分钟,直到没有二氧化碳气体产生为止。过滤,用5-10mL蒸馏水洗涤沉淀,合并滤液于烧杯中,不断搅拌,慢慢加入15mL 4mol•L -1盐酸,将烧杯置于冷水中冷却,即有晶体析出。抽滤,用冷水洗涤晶体1-2次,再抽干水分,即得产品。

请回答下列问题:

(1)通常乙酸酐在使用前需重新蒸馏,原因是                 。

(2)第①步中,要控制反应温度在85-90℃,应采用_________ 加热方法,水杨酸与乙酸酐的反应过程中,浓硫酸的作用是         。

(3)在第②步中,用冷水洗涤晶体,其目的是_____________________;

洗涤方法是                        

(4)第③步中,加入碳酸氢钠的作用是______________加入盐酸的作用是_____________

试题详情

20.(10分) Na2S2O3·5H2O(俗称海波)是照相业常用的一种定影剂。工业上制得的Na2S2O3·5H2O晶体中可能含有Na2SO3。为测定某海波样品的成分,称取三份质量不同的该样品,分别加入相同浓度的硫酸溶液30 mL,充分反应(Na2S2O3+H2SO4=Na2SO4+SO2↑+S↓+H2O)后滤出硫,微热滤液使SO2全部逸出。测得有关实验数据如下表(气体体积已换算为标准状况)。

 
第一份
第二份
第三份
样品的质量/g
6.830
13.660
30.000
二氧化硫气体的体积/L
0.672
1.344
2.688
硫的质量/g
0.800
1.600
3.200

试计算:

(1)所用硫酸溶液的物质的量浓度为      

(2)样品中n(Na2S2O3·5H2O):n(Na2SO3)=      

(3)某环境监测小组用上述海波样品配制含Na2S2O3 0.100 mol·L-1的海波溶液,并利用它测定某工厂废水中Ba2+的浓度。他们取废水50.00 mL,控制适当的酸度加入足量的K2Cr2O7溶液,得BaCrO4沉淀;沉淀经洗涤、过滤后,用适量的稀盐酸溶解,此时CrO42-全部转化为Cr2O72-;再加过量KI溶液,充分反应后,用上述配制的海波溶液进行滴定,反应完全时,测得消耗海波溶液的体积为36.00 mL。已知有关反应的离子方程式为:

①Cr2O72- + 6I- + 14H+    2Cr3+ + 3I2 + 7H2O

②I2 + 2S2O32-    2I- + S4O62-

③I2 + SO32- + H2O    2I- + SO42- + 2H+

则滴定过程中可用      作指示剂。计算该工厂废水中Ba2+的物质的量浓度。

试题详情

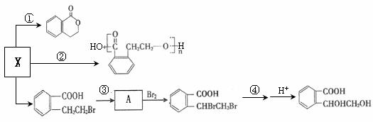
19.(12分)乙基香兰素是当今世界上最重要的合成香料之一,其结构简式如下图所示。

(1)以下推测正确的是     (填字母)。

a.从分子结构上看,它应该属于芳香烃

b.该物质的一个分子内含有一个碳氧双键、三个碳碳双键

c.1 mol该物质最多能与4molH2发生加成反应

d.该物质能与碳酸钠溶液反应产生CO2气体

(2) R物质属于乙基香兰素的同分异构体,其性质如下:

试写出符合条件的R的同分异构体的结构简式(任写两种) :          

(3)X也是乙基香兰素的同分异构体,可以通过不同的反应制得下列物质。

请回答下列问题:

(Ⅰ)反应①、②的反应类型              

(Ⅱ)反应③所需的试剂是       ;A的结构简式        ;

(Ⅲ)反应④的化学方程式         

试题详情

18.(10分)煤化工是以煤为原料,经过化学加工使煤转化为气体、液体、固体燃料以及各种化工产品的工业过程。

(1)将水蒸气通过红热的碳即可产生水煤气。反应为:

C(s)+H2O(g) CO(g)+H2(g)  ΔH=+131.3 kJ•mol-1,ΔS=+133.7J•(K•mol) -1 

①该反应能否自发进行与        有关;

②一定温度下,在一个容积可变的密闭容器中,发生上述反应,下列能判断该反应达到化学平衡状态的是        (填字母,下同)。 

a.容器中的压强不变   b.1 mol H-H键断裂的同时断裂2 mol H-O键

c.v(CO) = v(H2O)   d.c(CO)=c(H2)

(2)将不同量的CO(g)和H2O(g)分别通入到体积为2L的恒容密闭容器中,进行反应

 CO(g)+H2O(g) CO2(g)+H2(g),得到如下三组数据:

      实验组
温度/℃
起始量/mol
平衡量/mol
达到平衡所
需时间/min
H2O
CO
H2
CO
1
650
2
4
1.6
2.4
5
2
900
1
2
0.4
1.6
3
3
900
a
b
c
d
t

①实验1中以v(CO2) 表示的反应速率为        。

②该反应的逆反应为      (填“吸”或“放”)热反应

③若实验3要达到与实验2相同的平衡状态(即各物质的质量分数分别相等),且t<3min,则a、b应满足的关系是          (用含a、b的数学式表示)。

(3)目前工业上有一种方法是用CO2来生产甲醇。一定条件下发生反应:

CO2(g)+3H2(g)CH3OH(g)+H2O(g) ,下图表示该反应进行过程中能量(单位为kJ•mol-1)的变化。在体积为1 L的恒容密闭容器中,充入1mol CO2和3mol H2,下列措施中能使c (CH3OH)增大的是___________。

a.升高温度

b.充入He(g),使体系压强增大

c.将H2O(g)从体系中分离出来

d.再充入1mol CO2和3mol H2

试题详情

17.(10分)我国目前制备多晶硅主要采用三氯氢硅还原法、硅烷热解法和四氯化硅还原法。由于三氯氢硅还原法具有一定优点,被广泛应用。其简化的工艺流程如图所示:

(1)制备三氯氢硅的反应为:Si(s)+3HCl(g) == SiHCl3(g)+H2(g)  ΔH=-210 kJ•mol-1

伴随的副反应有:Si(s)+4HCl(g) == SiCl4(g)+2H2(g)  ΔH=-241 kJ•mol-1

SiCl4在一定条件下与H2反应可转化为SiHCl3,反应的热化学方程式为:

SiCl4(g)+H2(g) == SiHCl3(g)+HCl(g)  ΔH=     

(2)由纯SiHCl3制备高纯硅的化学反应方程式为  。该生产工艺中可以循环使用的物质是          (至少写出两种)。

(3)由于SiH4具有易提纯的特点,因此硅烷热分解法是制备高纯硅很有发展潜力的方法。工业上广泛采用的合成硅烷方法是让硅化镁和固体氯化铵在液氨介质中反应得到硅烷,化学方程式是            ;整个制备过程必须严格控制无水,否则反应将不能生成硅烷,而是生成硅酸和氢气等,其化学方程式为          ;整个系统还必须与氧隔绝,其原因是          。

试题详情

16.(8分)下列框图表示各有关物质之间的转化关系,所有反应物、生成物及溶液中的水均未标出。已知常温下D、E、F、H、L、N均为气体;A的焰色反应呈黄色;向B的溶液中滴加KSCN溶液,无明显现象;1molB隔绝空气分解得到F、G、H三种氧化物,其物质的量均为1mol;F是易与血红蛋白结合的物质;J是现代社会中应用最广泛的金属单质。

请回答下列各题:

(1)B的化学式       ;H的电子式      

(2)电解A溶液的离子方程式为               

(3)D与E反应可制得一种重要的化工原料,其反应的现象是         

(4)F与G反应的化学方程式为                

试题详情

15.(10分)某校学生用如下图所示装置进行实验,以探究苯与溴发生反应的原理并分离提纯反应的产物。

请回答下列问题:

(1)冷凝管所起的作用为冷凝回流和     ,冷凝水从   口进入(填“a”或“b”)。

(2)实验开始时,关闭K2、开启K1和分液漏斗活塞,滴加苯和液溴的混合液,反应开始。III中小试管内苯的作用是              

(3)能说明苯与液溴发生了取代反应的现象是            

(4)反应结束后,要让装置Ⅰ中的水倒吸入装置Ⅱ中。这样操作的目的是     ,简述这一操作的方法        。

(5)将三颈烧瓶内反应后的液体依次进行下列实验操作就可得到较纯净的溴苯。

① 用蒸馏水洗涤,振荡,分液;② 用5%的NaOH溶液洗涤,振荡,分液;

③ 用蒸馏水洗涤,振荡,分液;④ 加入无水CaCl2粉末干燥;

      (填操作名称)。

试题详情

14.在200 mL含Mg2+、Al3+、NH4+、H+、Cl-等离子的溶液中,逐滴加入5mol•L-1的氢氧化钠溶液,所加氢氧化钠溶液的体积(mL)与产生沉淀的物质的量(mol)关系如下图所示。下列叙述正确的是

A.xy的差值为0.01 mol

B.原溶液中c(Cl-)=0.75 mol·L-1

C.原溶液的pH=1

D.原溶液中n(Mg2+)∶n(Al3+)=5∶2

试题详情

13.铅蓄电池在现代生活中有广泛应用,其电极材料是Pb和PbO2,电解液是硫酸溶液。现用铅蓄电池电解饱和硫酸钠溶液一段时间,假设电解时温度不变且用惰性电极,下列说法不正确的是

A.蓄电池放电时,每消耗0.1molPb,共生成0.1molPbSO4

   B.电解池的阳极反应式为:4OH­-- 4e-==2H2O + O2

   C.电解后,c(Na2SO4)不变,且溶液中有晶体析出

   D.蓄电池中每生成1molH2O,电解池中就消耗1molH2O

试题详情


同步练习册答案