题目列表(包括答案和解析)

 0  53066  53074  53080  53084  53090  53092  53096  53102  53104  53110  53116  53120  53122  53126  53132  53134  53140  53144  53146  53150  53152  53156  53158  53160  53161  53162  53164  53165  53166  53168  53170  53174  53176  53180  53182  53186  53192  53194  53200  53204  53206  53210  53216  53222  53224  53230  53234  53236  53242  53246  53252  53260  447348 

2.函数                  (   )

A.周期为的偶函数         B.周期为的奇函数

C.周期2的奇函数          D.周期为2的偶函数

试题详情

只有一项是符合题目要求的。)

1.设是集合A到集合B的映射,若等于(   )

A.       B.       C.     D.

试题详情

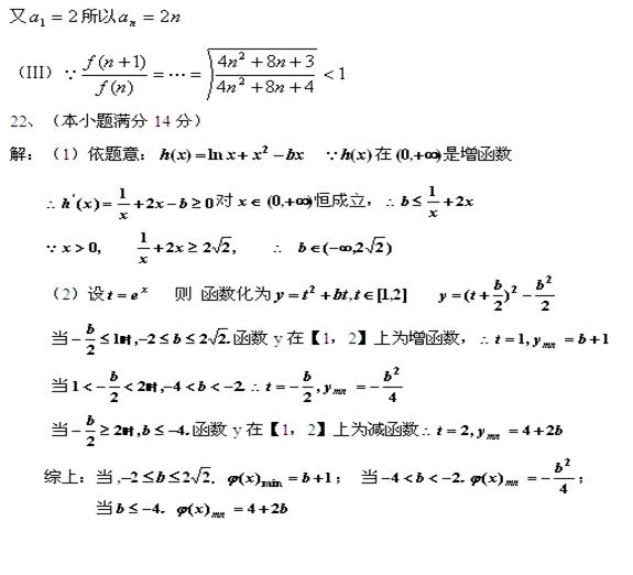
22、(本小题共14分)已知函数

(1)若 时,函数 在其定义域内是增函数,求b的取值范围;

(2)在(1)的结论下,设函数 ,求函数的最小值。

  

本资料由《七彩教育网》 提供!

试题详情

21.(本小题共14分)

已知数列的前n项和为,且对一切正整数n都有

(1)证明:;(2)求数列的通项公式;

(3)设

求证:对一切都成立。

试题详情

20.(本小题共12分)

已知动圆过定点,且与直线相切.

(1) 求动圆的圆心轨迹的方程;

(2) 是否存在直线,使过点(0,1),并与轨迹交于两点,且满足?若存在,求出直线的方程;若不存在,说明理由.

试题详情

19. (本小题共12分)

如图,四面体ABCD中,O、E分别是BD、BC的中点,

    (1)求证:平面BCD;

    (2)求异面直线AB与CD所成角的余弦;

    (3)求点E到平面ACD的距离.

试题详情

18.(本小题共12分)

某商场举行抽奖活动,从装有编为0,1,2,3四个小球的抽奖箱中同时抽出两个小球,两个小球号码相加之和等于5中一等奖,等于4中二等奖,等于3中三等奖。

  (1)求中三等奖的概率;(2)求中奖的概率。

试题详情

17.(本小题共12分)

已知向量,函数

(1)求函数的最小正周期;

(2)在中,分别是角的对边,且,且,求的值.

试题详情

16.为了在运行下面的程序之后得到输出y=25,键盘输入x应该是_____。

     INPUT x

IF  x<0  THEN

y=(x+1)*(x+1)

ELSE

y=(x-1)*(x-1)

     END  IF

PRINT  y

END

试题详情

15.若互不相等的实数成等差数列,成等比数列,且

等于      .

试题详情


同步练习册答案