题目列表(包括答案和解析)

 0  53053  53061  53067  53071  53077  53079  53083  53089  53091  53097  53103  53107  53109  53113  53119  53121  53127  53131  53133  53137  53139  53143  53145  53147  53148  53149  53151  53152  53153  53155  53157  53161  53163  53167  53169  53173  53179  53181  53187  53191  53193  53197  53203  53209  53211  53217  53221  53223  53229  53233  53239  53247  447348 

8.四面体A-BCD的四个顶点都在半径为2的球上.且AB,AC,AD两两垂直,则的最大值为 (   )

A. 8      B.  6      C.  4       D .

试题详情

7. 点从点出发,按逆时针方向沿周长为的图形运动一周,两点连线的距离与点走过的路程的函数关系如图,那么点所走的图形是(  )

试题详情

6.若函数的导数是则函数 (0<a<1)的单调递减区间是(  )                                                                                                                                    

A.   B. ,   C.  D. ,

试题详情

5.若直线mx+ny=4和圆O:没有交点,则过点(m,n)的直线与椭圆的交点个数为(  )

 A.至多一个     B.2个     C.1个       D.0个

试题详情

4.甲、乙、丙、丁、戊5人站成一排,要求甲乙均不与丙相邻,不同排法种数有  (  )

 A. 72       B.54         C.36       D.24

试题详情

3.直线与平面满足,,那么必有 (   )

A.         B.

  C.          D.

试题详情

2.与复数的积为1的复数的虚部为            (   )

A.      B.          C.      D.1

试题详情

只有一项是符合题目要求的。)

1.设是集合A到集合B的映射,若等于(   )

A.       B.       C.     D.

试题详情

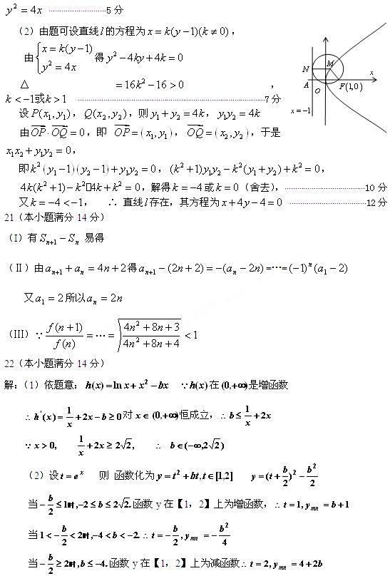
22、(本小题共14分)

已知函数

(1)若 时,函数 在其定义域内是增函数,求b的取值范围;

(2)在(1)的结论下,设函数 ,求函数 的最小值;

(3)设函数的图象C1 与函数的图象C2 交于P,Q两点,过线段PQ的中点R作x轴的垂线分别交C1、C2于M、N两点,问是否存在点R,使C1 在M处的切线与C2 在N处的切线平行?若存在,求出R的横坐标;若不存在,请说明理由。

本资料由《七彩教育网》 提供!

试题详情

21.(本小题共14分)

已知数列的前n项和为,且对一切正整数n都有

(1)证明:;(2)求数列的通项公式;

(3)设

求证:对一切都成立。

试题详情


同步练习册答案