题目列表(包括答案和解析)

 0  54461  54469  54475  54479  54485  54487  54491  54497  54499  54505  54511  54515  54517  54521  54527  54529  54535  54539  54541  54545  54547  54551  54553  54555  54556  54557  54559  54560  54561  54563  54565  54569  54571  54575  54577  54581  54587  54589  54595  54599  54601  54605  54611  54617  54619  54625  54629  54631  54637  54641  54647  54655  447348 

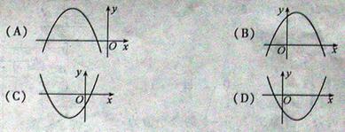
6.D

[解析]当时,同号,(C)(D)两图中,故,选项(D)符合.

[方法技巧]根据二次函数图像开口向上或向下,分两种情况分类考虑.另外还要注意c值是抛物线与y轴交点的纵坐标,还要注意对称轴的位置或定点坐标的位置等.

试题详情

2. (2010安徽理数)6、设,二次函数的图象可能是

试题详情

1.(2010安徽理数)

试题详情

8.(2010湖南理数)用表示a,b两数中的最小值。若函数的图像关于直线x=对称,则t的值为

A.-2   B.2   C.-1   D.1

试题详情

3.(2010湖北文数)已知函数,则

A.4       B.         C.-4         D-

[答案]B

[解析]根据分段函数可得,则

所以B正确.

(2010山东理数)(11)函数y=2x -的图像大致是

[答案]A

[解析]因为当x=2或4时,2x -=0,所以排除B、C;当x=-2时,2x -=,故排除D,所以选A。

[命题意图]本题考查函数的图象,考查同学们对函数基础知识的把握程度以及数形结合的思维能力。

(2010山东理数)(4)设f(x)为定义在R上的奇函数,当x≥0时,f(x)=+2x+b(b为常数),则f(-1)=

(A) 3       (B) 1        (C)-1         (D)-3

[答案]D

试题详情

5.(2010湖北文数)函数的定义域为

A.( ,1)    B(,∞)       C(1,+∞)     D. ( ,1)∪(1,+∞)

试题详情

7.C[命题意图]本小题主要考查对数函数的性质、函数的单调性、函数的值域,考生在做本小题时极易忽视a的取值范围,而利用均值不等式求得a+b=,从而错选D,这也是命题者的用苦良心之处.

[解析1]因为 f(a)=f(b),所以|lga|=|lgb|,所以a=b(舍去),或,所以a+b=

又0<a<b,所以0<a<1<b,令由“对勾”函数的性质知函数(0,1)上为减函数,所以f(a)>f(1)=1+1=2,即a+b的取值范围是(2,+∞).

[解析2]由0<a<b,且f(a)=f(b)得:,利用线性规划得:,化为求的取值范围问题,过点时z最小为2,∴(C)

(2010全国卷1理数)(10)已知函数f(x)=|lgx|.若0<a<b,且f(a)=f(b),则a+2b的取值范围是

(A)  (B)  (C)  (D)

(2010四川文数)(2)函数y=log2x的图象大致是

(A)        (B)       (C)       (D)

解析:本题考查对数函数的图象和基本性质.

答案:C

试题详情

7.(2010福建文数)函数的零点个数为 (   )

A.3    B.2     C.1     D.0

[答案]B

[解析]当时,令解得

时,令解得,所以已知函数有两个零点,选C。

[命题意图]本题考查分段函数零点的求法,考查了分类讨论的数学思想。

(2010全国卷1文数)(7)已知函数.若且,,则的取值范围是

(A)   (B)(C)   (D)

试题详情

2.(2010广东文数)函数的定义域是

A.      B.     C.    D.

解:,得,选B.

试题详情

3.(2010广东文数)若函数的定义域均为R,则

A. 与均为偶函数   B.为奇函数,为偶函数

C. 与均为奇函数   D.为偶函数,为奇函数

解:由于,故是偶函数,排除B、C

由题意知,圆心在y轴左侧,排除A、C

,故,选D

试题详情


同步练习册答案