题目列表(包括答案和解析)

 0  54418  54426  54432  54436  54442  54444  54448  54454  54456  54462  54468  54472  54474  54478  54484  54486  54492  54496  54498  54502  54504  54508  54510  54512  54513  54514  54516  54517  54518  54520  54522  54526  54528  54532  54534  54538  54544  54546  54552  54556  54558  54562  54568  54574  54576  54582  54586  54588  54594  54598  54604  54612  447348 

8.设不等式组所表示的平面区域是,平面区域是关于直线对称,对于中的任意一点A与中的任意一点B, 的最小值等于(   )

A.    B.4    C.     D.2

[答案]B

[解析]由题意知,所求的的最小值,即为区域中的点到直线的距离的最小值的两倍,画出已知不等式表示的平面区域,如图所示,

可看出点(1,1)到直线的距离最小,故的最小值为

,所以选B。

A. ①④     B. ②③    C.②④   D.③④

[答案]C

[解析]经分析容易得出②④正确,故选C。

[命题意图]本题属新题型,考查函数的相关知识。

试题详情

7.若点O和点分别是双曲线的中心和左焦点,点P为双曲线右支上的任意一点,则的取值范围为 (   )

A.   B.   C.    D.

[答案]B

[解析]因为是已知双曲线的左焦点,所以,即,所以双曲线方程为,设点P,则有,解得,因为,所以=,此二次函数对应的抛物线的对称轴为,因为,所以当时,取得最小值,故的取值范围是,选B。

[命题意图]本题考查待定系数法求双曲线方程,考查平面向量的数量积的坐标运算、二次函数的单调性与最值等,考查了同学们对基础知识的熟练程序以及知识的综合应用能力、运算能力。

试题详情

4.函数的零点个数为 (   )

A.0         B.1          C.2         D.3

[答案]C

[解析]当时,令解得

时,令解得,所以已知函数有两个零点,选C。

[命题意图]本题考查分段函数零点的求法,考查了分类讨论的数学思想。

所以,故,所以选项A、C正确;因为平面

,所以平面,又平面, 故,所以选项B也正确,故选D。

[命题意图]本题考查空间中直线与平面平行、垂直的判定与性质,考查同学们的空间想象能力和逻辑推理能力。

试题详情

3.设等差数列的前n项和为,若,,则当取最小值时,n等于

A.6          B.7         C.8         D.9

[答案]A

[解析]设该数列的公差为,则,解得

所以,所以当时,取最小值。

[命题意图]本题考查等差数列的通项公式以及前n项和公式的应用,考查二次函数最值的求法及计算能力。

试题详情

2.以抛物线的焦点为圆心,且过坐标原点的圆的方程为(    )

A.    B.     C.    D.

[答案]D

[解析]因为已知抛物线的焦点坐标为(1,0),即所求圆的圆心,又圆过原点,所以圆的半径为,故所求圆的方程为,即,选D。

[命题意图]本题考查抛物线的几何性质以及圆的方程的求法,属基础题。

试题详情

1.的值等于(   )

A.        B.       C.        D.

[答案]A

[解析]原式=,故选A。

[命题意图]本题考查三角函数中两角差的正弦公式以及特殊角的三角函数,考查基础知识,属保分题。

试题详情

  (17)(本小题满分12分)

    已知函数()的最小正周期为

    (Ⅰ)求的值;

    (Ⅱ)将函数的图像上各点的横坐标缩短到原来的,纵坐标不变,得到函数的图像,求函数在区间上的最小值.

  (18)(本小题满分12分)

     已知等差数列满足:.的前n项和为.

     (Ⅰ)求

(Ⅱ)令(),求数列的前n项和.

(19)(本小题满分12分)

   一个袋中装有四个现状大小完全相同的球,球的编号分别为1,2,3,4.

(Ⅰ)从袋中随机抽取两个球,求取出的球的编号之和不大于4的概率;

(Ⅱ)先从袋中随机取一个球,该球的编号为m,将球放回袋中,然后再从袋中随机取一个球,该球的编号为n,求的概率.

(20)(本小题满分12分)

    在如图所示的几何体中,四边形是正方形,

    平面分别为的中点,且.

(I)求证:平面平面

(II)求三棱锥与四棱锥的体积

     之比.

(21)(本小题满分12分)

    已知函数

    (I)当时,求曲线在点处的切线方程;

    (II)当时,讨论的单调性.

(22)(本小题满分14分)

    如图,已知椭圆过点.

    ,离心率为,左、右焦点分别为

    .点为直线上且不在轴上的任意

    一点,直线与椭圆的交点分别为

    和为坐标原点.

    (I)求椭圆的标准方程;

    (II)设直线的斜线分别为.

        (i)证明:

        (ii)问直线上是否存在点,使得直线的斜线满足?若存在,求出所有满足条件的点的坐标;若不存在,说明理由.

试题详情

(13)执行右图所示的程序框图,若输入,则输出y的值为     .

(14)已知,且满足,则xy的最大值为     .

(15) 在中,角A,B,C所对的边分别为a,b,c,若,,则角A的大小为     .

(16) 已知圆C过点(1,0),且圆心在x轴的正半轴上,直线l:被该圆所截得的弦长为,则圆C的标准方程为          .

试题详情

(1)    已知全集,集合,则=

A.   B.

C. D.

(2)已知,其中为虚数单位,则

A.        B. 1      C.  2        D.  3

(3)函数的值域为

A.      B.      C.        D.

(4)在空间,下列命题正确的是

A.平行直线的平行投影重合

B.平行于同一直线的两个平面平行

C.垂直于同一平面的两个平面平行

D.垂直于同一平面的两条直线平行

(5)设为定义在上的奇函数,当时,(为常数),则

(A)-3    (B)-1      (C)1        (D)3

(6)在某项体育比赛中,七位裁判为一选手打出的分数如下:

   90   89   90   95   93   94  93

 去掉一个最高分和一个最低分后,所剩数据的平均值和方差分别为

(A)92 , 2                 (B) 92 , 2.8

(C)  93 , 2                 (D) 93 , 2.8

(7)设是首项大于零的等比数列,则“”是“数列是递增数列”的

(A)充分而不必要条件           (B)必要而不充分条件

(C)充分必要条件              (D)既不充分也不必要条件

(8)已知某生产厂家的年利润(单位:万元)与年产量(单位:万件)的幻术关系式为,则使该生产厂家获得最大年利润的年产量为

(A)13万件                 (B)11万件

 (C)  9万件                 (D)7万件

(9)已知抛物线,过其焦点且斜率为1的直线交抛物线与两点,若线段的中点的纵坐标为2,则该抛物线的准线方程为

 (A)                 (B)

  (C)                  (D)

(10)观察,由归纳推理可得:若定义在上的函数满足,记的导函数,则=

(A)    (B)        (C)     (D)

(11)函数的图像大致是

(12)定义平面向量之间的一种运算“”如下:对任意的,令,下面说法错误的是

(A)若a与b共线,则

(B)

(C)对任意的,有

(D)

试题详情

(17)(本小题满分12分)

某种有奖销售的饮料,瓶盖内印有“奖励一瓶”或“谢谢购买”字样,购买一瓶若其瓶盖内印有“奖励一瓶”字样即为中奖,中奖概率为.甲、乙、丙三位同学每人购买了一瓶该饮料。

(Ⅰ)求甲中奖且乙、丙都没有中奖的概率;

(Ⅱ)求中奖人数ξ的分布列及数学期望Eξ.

(18)(本小题满分12分)w_w w. k#s5_

已知正方体ABCDA'B'C'D'的棱长为1,点M是棱AA'的中点,点O是对角线BD'的中点.

(Ⅰ)求证:OM为异面直线AA'和BD'的公垂线;

(Ⅱ)求二面角MBC'-B'的大小;

(Ⅲ)求三棱锥MOBC的体积.

(19)(本小题满分12分)

(Ⅰ)1证明两角和的余弦公式

    2由推导两角和的正弦公式.

(Ⅱ)已知△ABC的面积,且,求cosC.

(20)(本小题满分12分)

已知定点A(-1,0),F(2,0),定直线lx,不在x轴上的动点P与点F的距离是它到直线l的距离的2倍.设点P的轨迹为E,过点F的直线交EBC两点,直线ABAC分别交l于点MN

(Ⅰ)求E的方程;

(Ⅱ)试判断以线段MN为直径的圆是否过点F,并说明理由.

(21)(本小题满分12分)

已知数列{an}满足a1=0,a2=2,且对任意mnN*都有

a2m1+a2n1=2am+n1+2(mn)2

(Ⅰ)求a3a5

(Ⅱ)设bna2n+1a2n1(nN*),证明:{bn}是等差数列;

(Ⅲ)设cn=(an+1an)qn1(q≠0,nN*),求数列{cn}的前n项和Sn.

(22)(本小题满分14分)

(),g(x)是f(x)的反函数.

(Ⅰ)设关于的方程求在区间[2,6]上有实数解,求t的取值范围;

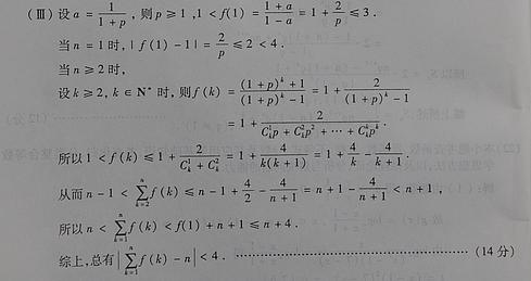
(Ⅱ)当ae(e为自然对数的底数)时,证明:

(Ⅲ)当0<a≤时,试比较与4的大小,并说明理由.

w_w w. k#s5_

试题详情


同步练习册答案