题目列表(包括答案和解析)

 0  54420  54428  54434  54438  54444  54446  54450  54456  54458  54464  54470  54474  54476  54480  54486  54488  54494  54498  54500  54504  54506  54510  54512  54514  54515  54516  54518  54519  54520  54522  54524  54528  54530  54534  54536  54540  54546  54548  54554  54558  54560  54564  54570  54576  54578  54584  54588  54590  54596  54600  54606  54614  447348 

(17)(本小题满分12分)

已知函数

(Ⅰ)求函数的最小正周期及在区间上的最大值和最小值;

(Ⅱ)若,求的值。

(18).(本小题满分12分)

某射手每次射击击中目标的概率是,且各次射击的结果互不影响。

(Ⅰ)假设这名射手射击5次,求恰有2次击中目标的概率

(Ⅱ)假设这名射手射击5次,求有3次连续击中目标。另外2次未击中目标的概率;

(Ⅲ)假设这名射手射击3次,每次射击,击中目标得1分,未击中目标得0分,在3次射击中,若有2次连续击中,而另外1次未击中,则额外加1分;若3次全击中,则额外加3分,记为射手射击3次后的总的分数,求的分布列。

(19)(本小题满分12分)

如图,在长方体中,分别是棱,

上的点,,

(1)    求异面直线所成角的余弦值;

(2)    证明平面

(3)    求二面角的正弦值。

(20)(本小题满分12分)

已知椭圆的离心率,连接椭圆的四个顶点得到的菱形的面积为4。

(1)    求椭圆的方程;

(2)    设直线与椭圆相交于不同的两点,已知点的坐标为(),点在线段的垂直平分线上,且,求的值

(21)(本小题满分14分)

已知函数

(Ⅰ)求函数的单调区间和极值;

(Ⅱ)已知函数的图象与函数的图象关于直线对称,证明当时,

(Ⅲ)如果,且,证明

(22)(本小题满分14分)

在数列中,,且对任意.成等差数列,其公差为

(Ⅰ)若=,证明成等比数列()

(Ⅱ)若对任意成等比数列,其公比为

2010年普通高等学校招生全国统一考试(天津卷)

试题详情

(11)甲、乙两人在10天中每天加工零件的个数用茎叶图表示如下图,中间一列的数字表示零件个数的十位数,两边的数字表示零件个数的个位数,则这10天甲、乙两人日加工零件的平均数分别为      和    。

 

 

(12)一个几何体的三视图如图所示,则这个几何体的体积为     

 

 

(13)已知圆C的圆心是直线与x轴的交点,且圆C与直线x+y+3=0相切,则圆C的方程为    

(14)如图,四边形ABCD是圆O的内接四边形,延长AB和DC相交于点P,若,则的值为   。

 

(15)如图,在中,,,

,则     .

(16)设函数,对任意恒成立,则实数的取值范围是     .

试题详情

(17)(本小题满分12分)

ABC中,

(Ⅰ)证明B=C:

(Ⅱ)若=-,求sin的值。

(18)(本小题满分12分)

有编号为,,…的10个零件,测量其直径(单位:cm),得到下面数据:

其中直径在区间[1.48,1.52]内的零件为一等品。

(Ⅰ)从上述10个零件中,随机抽取一个,求这个零件为一等品的概率;

(Ⅱ)从一等品零件中,随机抽取2个.

   (ⅰ)用零件的编号列出所有可能的抽取结果;

   (ⅱ)求这2个零件直径相等的概率。

(19)(本小题满分12分)

如图,在五面体ABCDEF中,四边形ADEF是正方形,FA⊥平面ABCD,BC∥AD,CD=1,AD=,∠BAD=∠CDA=45°.

(Ⅰ)求异面直线CE与AF所成角的余弦值;   

(Ⅱ)证明CD⊥平面ABF;

(Ⅲ)求二面角B-EF-A的正切值。

(20)(本小题满分12分)

已知函数f(x)=,其中a>0.

(Ⅰ)若a=1,求曲线y=f(x)在点(2,f(2))处的切线方程;

(Ⅱ)若在区间上,f(x)>0恒成立,求a的取值范围.

(21)(本小题满分14分)

已知椭圆(a>b>0)的离心率e=,连接椭圆的四个顶点得到的菱形的面积为4.

(Ⅰ)求椭圆的方程;

(Ⅱ)设直线l与椭圆相交于不同的两点A、B,已知点A的坐标为(-a,0).

    (i)若,求直线l的倾斜角;

    (ii)若点Q在线段AB的垂直平分线上,且.求的值.

(22)(本小题满分14分)

在数列中,=0,且对任意k成等差数列,其公差为2k.

(Ⅰ)证明成等比数列;

(Ⅱ)求数列的通项公式;

(Ⅲ)记,证明.

2010年普通高等学校招生全国统一考试(天津卷)

试题详情

(11)如图,四边形ABCD是圆O的内接四边形,延长AB和DC相交于点P。若PB=1,PD=3,则的值为    

(12)一个几何体的三视图如图所示,则这个几何体的体积为     

(13)已知双曲线的一条渐近线方程是,它的一个焦点与抛物线的焦点相同。则双曲线的方程为         。

(14)已知圆C的圆心是直线x-y+1=0与x轴的交点,且圆C与直线x+y+3=0相切。则圆C的方程为            。

(15)设{an}是等比数列,公比,Sn为{an}的前n项和。记为数列{}的最大项,则=       。

(16)设函数f(x)=x-,对任意x恒成立,则实数m的取值范围是________

试题详情

(15)(本小题共13分)

   已知函数

(Ⅰ)求的值;

(Ⅱ)求的最大值和最小值。

(16)(本小题共14分)

   如图,正方形ABCD和四边形ACEF所在的平面互相垂直,CE⊥AC,EF∥AC,AB=CE=EF=1.

(Ⅰ)求证:AF∥平面BDE

(Ⅱ)求证:CF⊥平面BDE;

(Ⅲ)求二面角A-BE-D的大小。

                  

(17)(本小题共13分)

某同学参加3门课程的考试。假设该同学第一门课程取得优秀成绩的概率为,第二、第三门课程取得优秀成绩的概率分别为(),且不同课程是否取得优秀成绩相互独立。记ξ为该生取得优秀成绩的课程数,其分布列为

ξ
0
1
2
3





(Ⅰ)求该生至少有1门课程取得优秀成绩的概率;

(Ⅱ)求的值;

(Ⅲ)求数学期望ξ。

(18)(本小题共13分)

已知函数()=In(1+)-+(≥0)。

(Ⅰ)当=2时,求曲线=()在点(1,(1))处的切线方程;

(Ⅱ)求()的单调区间。

(19)(本小题共14分)

在平面直角坐标系xOy中,点B与点A(-1,1)关于原点O对称,P是动点,且直线AP与BP的斜率之积等于.

(Ⅰ)求动点P的轨迹方程;

(Ⅱ)设直线AP和BP分别与直线x=3交于点M,N,问:是否存在点P使得△PAB与△PMN的面积相等?若存在,求出点P的坐标;若不存在,说明理由。

(20)(本小题共13分)

已知集合对于,定义A与B的差为

A与B之间的距离为

(Ⅰ)证明:,且;

(Ⅱ)证明:三个数中至少有一个是偶数

(Ⅲ) 设P,P中有m(m≥2)个元素,记P中所有两元素间距离的平均值为(P).

  证明:(P)≤.

(考生务必将答案答在答题卡上,在试卷上作答无效)

()

2010年普通高等学校招生全国统一考试

试题详情

(9)在复平面内,复数对应的点的坐标为     

(10)在△ABC中,若b = 1,c =,则a =     

(11)从某小学随机抽取100名同学,将他们的身高(单位:厘米)数据绘制成频率分布直方图(如图)。由图中数据可知a=      。若要从身高在[ 120 , 130),[130 ,140) , [140 , 150]三组内的学生中,用分层抽样的方法选取18人参加一项活动,则从身高在[140 ,150]内的学生中选取的人数应为    

(12)如图,的弦ED,CB的延长线交于点A。若BDAE,AB=4, BC=2, AD=3,则DE=      ;CE=    

(13)已知双曲线的离心率为2,焦点与椭圆的焦点相同,那么双曲线的焦点坐标为     ;渐近线方程为     

(14)(14)如图放置的边长为1的正方形PABC沿x轴滚动。

设顶点p(x,y)的轨迹方程是,则的最小正周期为      在其两个相邻零点间的图像与x轴

所围区域的面积为     

说明:“正方形PABC沿轴滚动”包括沿轴正方向和沿轴负方向滚动。沿轴正方向滚动指的是先以顶点A为中心顺时针旋转,当顶点B落在轴上时,再以顶点B为中心顺时针旋转,如此继续。类似地,正方形PABC可以沿轴负方向滚动。

试题详情

(1) 集合,则=

  (A) {1,2}   (B) {0,1,2}   (C){x|0≤x<3}    (D) {x|0≤x≤3}

(2)在等比数列中,,公比.若,则m=

(A)9     (B)10     (C)11     (D)12

(3)一个长方体去掉一个小长方体,所得几何体的正(主)视图与侧(左)视图分别如右图所示,则该几何体的俯视图为  

       

(4)8名学生和2位第师站成一排合影,2位老师不相邻的排法种数为

(A)     (B)     (C)    (D)

(5)极坐标方程(p-1)()=(p0)表示的图形是

(A)两个圆                (B)两条直线

(C)一个圆和一条射线          (D)一条直线和一条射线

(6)a、b为非零向量。“”是“函数为一次函数”的

(A)充分而不必要条件           (B)必要不充分条件

(C)充分必要条件             (D)既不充分也不必要条件

(7)设不等式组  表示的平面区域为D,若指数函数y=的图像上

存在区域D上的点,则a 的取值范围是

   (A)(1,3]     (B )[2,3]     (C ) (1,2]      (D )[ 3, ]

(8)如图,正方体ABCD-的棱长为2,动点E、F在棱上,动点P,Q分别在棱AD,CD上,若EF=1,E=x,DQ=y,DP=z(x,y,z大于零),则四面体PEFQ的体积            

  (A)与x,y,z都有关

  (B)与x有关,与y,z无关

  (C)与y有关,与x,z无关

  (D)与z有关,与x,y无关

第II卷(共110分)

试题详情

(13)设为区间上的连续函数,且恒有,可以用随机模拟方法近似计算积分,先产生两组(每组N个)区间上的均匀随机数,由此得到N个点,再数出其中满足的点数,那么由随机模拟方案可得积分的近似值为    

(14)正视图为一个三角形的几何体可以是______(写出三种)

(15)过点A(4,1)的圆C与直线x-y=0相切于点B(2,1),则圆C的方程为____

(16)在△ABC中,D为边BC上一点,BD=DC,ADB=120°,AD=2,若△ADC的面积为,则BAC=_______

三,解答题:解答应写出文字说明,正明过程和演算步骤

(17)(本小题满分12分)

设数列满足

(1)    求数列的通项公式;

(2)    ,求数列的前n项和

(18)(本小题满分12分)

如图,已知四棱锥P-ABCD的底面为等腰梯形,ABCD,ACBD,垂足为H,PH是四棱锥的高 ,E为AD中点

(1)    证明:PEBC

(2)    若APB=ADB=60°,求直线PA与平面PEH所成角的正弦值

(19)(本小题12分)

为调查某地区老人是否需要志愿者提供帮助,用简单随机抽样方法从该地区调查了500位老年人,结果如下:

是否需要志愿    性别


需要
40
30
不需要
160
270

(1)    估计该地区老年人中,需要志愿者提供帮助的老年人的比例;

(2)    能否有99%的把握认为该地区的老年人是否需要志愿者提供帮助与性别有关?

(3)    根据(2)的结论,能否提供更好的调查方法来估计该地区老年人,需要志愿帮助的老年人的比例?说明理由

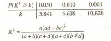
附:

(20)(本小题满分12分)

分别是椭圆的左、右焦点,过斜率为1的直线相交于两点,且成等差数列。

(1)求的离心率;

 (2) 设点满足,求的方程

(21)(本小题满分12分)

设函数

(1)    若,求的单调区间;

(2)    若当,求的取值范围

请考生在第(22)、(23)、(24)三题中任选一题作答,如果多做,则按所做的第一题记分。做答时用2B铅笔在答题卡上把所选题目的题号涂黑。

(22)(本小题满分10分)选修4-1:几何证明选讲

    如图,已经圆上的弧,过C点的圆切线与BA的延长线交于E点,证明:

(Ⅰ)∠ACE=∠BCD;

(Ⅱ)BC2=BF×CD。

(23)(本小题满分10分)选修4-4:坐标系与参数方程

    已知直线C1(t为参数),C2(为参数),

(Ⅰ)当=时,求C1与C2的交点坐标;

(Ⅱ)过坐标原点O做C1的垂线,垂足为,P为OA中点,当变化时,求P点的轨迹的参数方程,并指出它是什么曲线。

(24)(本小题满分10分)选修4-5,不等式选项

    设函数

(Ⅰ)画出函数的图像

(Ⅱ)若不等式的解集非空,求a的取值范围。

2010年普通高等学校招生全国统一考试

试题详情


同步练习册答案