题目列表(包括答案和解析)

 0  54448  54456  54462  54466  54472  54474  54478  54484  54486  54492  54498  54502  54504  54508  54514  54516  54522  54526  54528  54532  54534  54538  54540  54542  54543  54544  54546  54547  54548  54550  54552  54556  54558  54562  54564  54568  54574  54576  54582  54586  54588  54592  54598  54604  54606  54612  54616  54618  54624  54628  54634  54642  447348 

6、(2010辽宁理数)(12) (12)有四根长都为2的直铁条,若再选两根长都为a的直铁条,使这六根铁条端点处相连能够焊接成一个三棱锥形的铁架,则a的取值范围是

   (A)(0,)   (B)(1,)

   (C) (,)   (D) (0,)

[答案]A

[命题立意]本题考查了学生的空间想象能力以及灵活运用知识解决数学问题的能力。

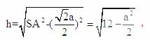
[解析]根据条件,四根长为2的直铁条与两根长为a的直铁条要组成三棱镜形的铁架,有以下两种情况:(1)地面是边长为2的正三角形,三条侧棱长为2,a,a,如图,此时a可以取最大值,可知AD=,SD=,则有<2+,即,即有a<

(2)构成三棱锥的两条对角线长为a,其他各边长为2,如图所示,此时a>0;

综上分析可知a∈(0,)

试题详情

5、(2010辽宁文数)(11)已知是球表面上的点,,则球的表面积等于

(A)4    (B)3    (C)2    (D)

解析:选A.由已知,球的直径为表面积为

试题详情

4、(2010陕西文数) 8.若某空间几何体的三视图如图所示,则该几何体的体积是    [B]

   (A)2        (B)1       

(C)       (D)

 

解析:本题考查立体图形三视图及体积公式

如图,该立体图形为直三棱柱

所以其体积为

试题详情

3、(2010全国卷2理数)(9)已知正四棱锥中,,那么当该棱锥的体积最大时,它的高为

(A)1        (B)       (C)2       (D)3

[答案]C

[命题意图]本试题主要考察椎体的体积,考察告辞函数的最值问题.

[解析]设底面边长为a,则高所以体积

,则,当y取最值时,,解得a=0或a=4时,体积最大,此时,故选C.

试题详情

2、(2010全国卷2理数)(11)与正方体的三条棱所在直线的距离相等的点

(A)有且只有1个             (B)有且只有2个

(C)有且只有3个             (D)有无数个

[答案]D

[解析]直线上取一点,分别作垂直于分别作,垂足分别为M,N,Q,连PM,PN,PQ,由三垂线定理可得,PN⊥PM⊥;PQ⊥AB,由于正方体中各个表面、对等角全等,所以,∴PM=PN=PQ,即P到三条棱AB、CC1、A1D1.所在直线的距离相等所以有无穷多点满足条件,故选D.

试题详情

1、(2010浙江理数)(6)设是两条不同的直线,是一个平面,则下列命题正确的是

(A)若,则    (B)若,则

(C)若,则     (D)若,则

解析:选B,可对选项进行逐个检查。本题主要考察了立体几何中线面之间的位置关系及其中的公理和判定定理,也蕴含了对定理公理综合运用能力的考察,属中档题

试题详情

33、(2010安徽卷理)

试题详情

11.[答案]6

[解析]二项式展开式的通项公式为要使系数为有理数,则r必为4的倍数,所以r可为0.、4、8、12、16、20共6种,故系数为有理数的项共有6项.

试题详情

32、(2010湖北理数)11、在(x+ )的展开式中,系数为有理数的项共有_______项。

试题详情

31、(2010湖北文数)11.在的展开中, 的系数为______。

[答案]45

[解析]展开式即是10个(1-x2)相乘,要得到x4,则取2个1-x2中的(-x2)相乘,其余选1,则系数为,故系数为45.

试题详情


同步练习册答案