题目列表(包括答案和解析)

 0  94869  94877  94883  94887  94893  94895  94899  94905  94907  94913  94919  94923  94925  94929  94935  94937  94943  94947  94949  94953  94955  94959  94961  94963  94964  94965  94967  94968  94969  94971  94973  94977  94979  94983  94985  94989  94995  94997  95003  95007  95009  95013  95019  95025  95027  95033  95037  95039  95045  95049  95055  95063  447348 

5.等差数列中,,那么的值是  ▲ 

试题详情

4.在△ABC中,AB=1,  BC=2,  B=60°,则AC   ▲ 

试题详情

3.等差数列{}中,已知,则它的通项公式为  ▲ 

试题详情

2.已知向量.若,则  ▲ 

试题详情

1.不等式的解集是  ▲ 

试题详情

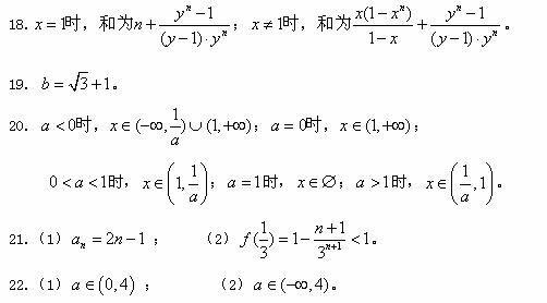
22.(14分)已知函数

(1)若对一切恒成立,求实数的取值范围;

(2)若对恒成立,求实数的取值范围。

 
 
 
 
 
()
 
 
 
 

来源:
 
版权所有:()

试题详情

21.(12分)已知,满足

构成数列

(1)求数列的通项公式;   (2)证明:

试题详情

20.(12分)解关于实数的不等式:

试题详情

19.(12分)已知的三个内角的对边,如果成等差数列,的面积为,求

试题详情

18.(12分)求和:

试题详情


同步练习册答案