0  165184  165192  165198  165202  165208  165210  165214  165220  165222  165228  165234  165238  165240  165244  165250  165252  165258  165262  165264  165268  165270  165274  165276  165278  165279  165280  165282  165283  165284  165286  165288  165292  165294  165298  165300  165304  165310  165312  165318  165322  165324  165328  165334  165340  165342  165348  165352  165354  165360  165364  165370  165378  447090 

13.由0,1,2,3,4,5组成没有重复数字的三位偶数的个数为__________________.

试题详情

12.已知线段AD∥平面a,AD=10且与平面a的距离等于4,点B、C是平面a内的动点,且满足AB=5,DC=8,则B、C两点之间的距离的最大值为                          (   )

    A.13+4    B.无最大值      C.6+8       D.16+8 

第Ⅱ卷

20080419
 
二、填空题(本大题共4小题.每小题5分.共20分.把答案填在题中的横线上)

试题详情

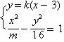
11.已知直线y=k(x-3)(k∈R)与双曲线,某学生作了如下变形:由消去y后得形如Ax2+Bx+C=0的方程.当A=0时,该方程恒有一解.当A≠0时,△=B2-4AC≥0恒成立.假设学生的演算过程是正确的,根据学生的演算过程所提供的信息,则实数m的取值范围为              (   )

   A.[9,+∞]      B.(0,3)      C.(0,9)        D.[3,+∞)

试题详情

9.小正方形按照图中规律排列,每个图形中的小正方形的个数构成一个数列{an},则下列结论正确的是           (   )

①a5=15;②数列{an}是一个等差数列;③数列{an}是一个等比数列;④数列{an}的递推关系式是an+n(n∈N﹡,n≥2)

   A.①②④     B.①③④     C.①②       D.①④

20080419
 
10.在平面直角坐标系中点A(1,2)、B(3,4)到直线l的距离分别为2、3,则符合条件的直线l的条数是                          (   )

   A.1       B.2       C.3        D.4

试题详情

8.设有两个独立事件A和B同时不发生的概率为P,A发生B不发生与A不发生B发生的概率相同,则事件A发生的概率为                                               (   )

   A.2P       B.       C.1-     D.1-

试题详情

7.若函数f (x)是奇函数,且在(0,+∞)上是增函数, f(3)=0,则不等式x f(x)<0的解集为                           (   )

   A.{x|-3<x<0或x>3}             B.{x|x<-3或0<x<3}

   B.{x|x<-3或x>3}         D.{x|-3<x<0或0<x<3}

试题详情

6.已知命题p:函数f (x)=x2-2ax+5在区间[2,3]上存在反函数;命题q:≥0,则q是p成立的                   (   )

A.充分不必要条件          B.必要不充分条件

C.充要条件                      D.既不充分又不必要条件

试题详情

5.如图是200辆汽车通过某一段公路时的时速频率分布条形图,那么时速在[40,70)的汽车的辆数为                              (   )

   A.140       B.160          C.180        D.130

试题详情

4.已知a=(1,sinx),b=(1,-1),设f (x)=a·b,关于函数y=f (x),以下结果正确的是                             ( )

   A.有最大值6          B.周期为π

   C.一条对称轴为x=      D.单调递增区间为[2kπ-,2kπ+](k∈Z)

试题详情

3.如图,直线l⊥HF于H,O为HF的中点,曲线C1,C2是以F为焦点,l为相应准线的圆锥曲线(一部分),那么圆锥曲线C1,C2分别是                    (   )

   A.椭圆,双曲线  B.椭圆,抛物线   C.双曲线,椭圆  D.双曲线,抛物线

试题详情


同步练习册答案