0  174064  174072  174078  174082  174088  174090  174094  174100  174102  174108  174114  174118  174120  174124  174130  174132  174138  174142  174144  174148  174150  174154  174156  174158  174159  174160  174162  174163  174164  174166  174168  174172  174174  174178  174180  174184  174190  174192  174198  174202  174204  174208  174214  174220  174222  174228  174232  174234  174240  174244  174250  174258  447090 

16.(8分)2008年9月25 H,神州七号太空飞船被长征2号F型火箭送入太空。

(1)神舟七号太空飞船的外壳是一种新型结构陶瓷材料,它的主要成分是氮化硅。依据氮、硅原子的结构特点,推测氮化硅的化学式为          。工业上使用SiCl4和N2在H2气下生成氮化硅,其化学反应式为                   

(2)神舟七号太空飞船采用某种电化学装置,消除宇航员呼吸过程中产生的CO2,提供呼吸所需要的氧气。该装置可实现如下转化:2CO2=2CO+O2,CO可作燃料。

若该过程的阳极反应为4OH+4e=O2↑+2H2O,则该过程的阴极反应为        

(3)长征2号F型火箭的推进剂是液氢和液氧。已知:2H2(g)+O2(g)=2H2O(1)

△H=﹣571.6kj•mol–1;H2(g)=H2(1)  △H =﹣0.92 kj•mol–1;O2(g)=O2(1)

△H =﹣6.84 kj•mol–1;H2O(g)=H2O(1)  △H=﹣44.0kj•mol–1

请写出液氢和液氧生成气态水的热化学方程式:                  

试题详情

15.下列溶液中有关物质的量浓度关系不正确的是

  A.pH=2的HA溶液与pH=12的MOH溶液任意比混合:

    c(H+)+c(M+)=c(OH)+c(A)

B.pH相等的CH3COONa、NaOH和Na2CO3三种溶液

    c(NaOH)<c(Na2CO3)<c(CH3COONa)

C.物质的量浓度相等的CH3COOH和CH3COONa溶液等体积混合:

    c(CH3COO)+2c(OH)=2c(H+)+c(CH3COOH)

D.0.1mol•L-1NaHA溶液,其pH等于4:c(HA)>c(H+)>c(H2A)>c(A2–)

第Ⅱ卷(非选择题,共55分)

试题详情

14.化学实验室中常将溶液或试剂进行酸化,下列酸化处理合理的是

     A.配制氯化铝溶液时,为防止其水解,可加入稀硫酸酸化

B.为提高KMnO4溶液的氧化能力,用盐酸将KMnO4溶液酸化

C.除NaCl溶液中混有的CaCl2时,应加入足量的Na2CO3,过滤,滤液用硝酸酸化

     D.用氯化钡溶液鉴别溶液中是否有SO42–时,溶液可用盐酸酸化

试题详情

13.下列说法正确的是

     ①非金属氧化物一定不是碱性氧化物

     ②NH4SO4溶液的pH比NH4NO3溶液的pH小

     ③含有阴离子的物质中一定含有阳离子

     ④常温下在pH=3的溶液中,K+、Fe2+、C1、CO32–不能大量共存

     ⑤因为SO2有漂白性,所以向酸性高锰酸钾溶液中通入SO2,溶液褪色

     A.①②③④⑤       B.①②③④         C.①③④          D.①④⑤

试题详情

12.金属材料在日常生活以及生产中有着广泛的运用。下列说法不正确的是

     A.镁铝合金的性质与镁、铝单质的性质不完全相同

     B.中国南海正在打捞的明代沉船上存在大量铝制餐具

     C.镁铝合金因坚硬、轻巧、美观、易于加工而成为新型建筑装潢材料

     D.镁铝虽然活泼,但却具有良好的抗腐蚀性

试题详情

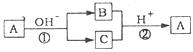
11.A是一种常见的单质,B、C为中学常见的化合物,A、B、C均含有元素x,它们有如图所示的转化关系(部分产物及反应条件已略去)。下列结论正确的是:

A.x元素可能为铝                     B.反应①和②互为可逆反应

C.x元素可能是金属,也可能是非金属     D.反应①和②一定为氧化还原反应

试题详情

10.某化学科研小组研究在其他条件不变时,改变某一条件对A2(g)+3B2(g)2AB3(g)化学平衡状态的影响。得到如下图所示的变化规律(图中T表示温度,n表示物质的量),根据图示得出的判断结论正确的是

A.反应速率a>b>c                  B.达到平衡时A2的转化率大小为:b>a>c

C.若T2>T1,则正反应是放热反应     D.达到平衡时,AB3的物质的量大小为:c>b>a

试题详情

9.下列说法正确的是

   A.仅由非金属元素组成的化合物一定是共价化合物

   B.电能与化学能的相互转化过程中一定有新物质产生

   C.向饱和AgCl溶液中加入盐酸,Ksp变大

   D.F、Cl、Br、I的氢化物稳定性逐渐减弱,其水溶液的酸性也逐渐减弱

试题详情

8.运用元素周期律分析下面的推断,其中推断错误的是

     A.氢氧化铍[Be(OH)2]的碱性比氢氧化镁弱.

     B.砹(At)为有色固体;HAt不稳定;AgAt感光性很强,且不溶于水也不溶于稀酸

     C.硫酸锶(SrSO4)是难溶于水的白色固体

    D.硒化氢(H2Se)是无色、有毒,比H2S稳定的气体

试题详情

7.将SO2通入CuSO4和NaCl的浓溶液中,溶液颜色变浅,析出白色沉淀,取该沉淀分析,测得含Cl:35.7%,Cu:64.3%,SO2在上述反应中作用是

   A.酸             B.漂白剂          C.氧化剂          D.还原剂

试题详情


同步练习册答案