0  174360  174368  174374  174378  174384  174386  174390  174396  174398  174404  174410  174414  174416  174420  174426  174428  174434  174438  174440  174444  174446  174450  174452  174454  174455  174456  174458  174459  174460  174462  174464  174468  174470  174474  174476  174480  174486  174488  174494  174498  174500  174504  174510  174516  174518  174524  174528  174530  174536  174540  174546  174554  447090 

4.酸根离子RO3所含电子数比硝酸根离子的电子数多10,则下列说法正确的是

   A.R元素和氮元素的气态氢化物的化学式分别为RH3、NH3

   B.RO3中R原子的质子数为15

   C.R与氮元素的原于最外层电子数不相同

   D.RO3和NO3都只能被还原不能被氧化

试题详情

3.1molCH4气体完全燃烧生成CO2和H2O()时,放出的热量为802KJ;但当不完全燃烧生成CO和H2O()时,放出的热量为519KJ。如果1molCH4与一定量氧气燃烧生成CO,CO2,H2O(),并放出731.25KJ的热量,则一定量的氧气的质量为

   A.40g        B.56g        C.60g        D.无法计算

试题详情

2.下列说法正确的是

   A.水的离子积Kw随温度改变而改变,随外加酸碱浓度改变而改变。

   B.一元弱酸的电离常数Ka越小,表示此温度下该一元弱酸的电离程度越大。

   C.对已达到化学平衡的反应,仅改变浓度,若平衡移动则平衡常数(k)一定改变。

   D.Ksp只与难溶电解质的性质和温度有关,而与溶液中的离子浓度无关。

试题详情

1.关于食品添加剂的叙述不正确的是

   A.醋可同时用作防腐剂和调味剂

   B.亚硝酸钠可能致癌

   C.我国应该禁止使用味精

D.苯甲酸钠可用作食品的防腐剂

试题详情

29.(14分)(1)有机物A由碳、氢、氧三种元素组成,现取2.3gA与2.8L氧气(标准状况)在密闭容器中燃烧,燃烧后生成CO2、CO和气态H2O(假设反应物没有剩余)。将反应产生的气体依次通过浓H2SO4和碱石灰,浓H2SO4增重2.7g,碱石灰增重2.2g,则2.3gA中n(H)=   mol,n(C)=   mol,A的分子式为    

  (2)某课外化学活动小组设计用下图所示装置将(1)中的A氧化并检验氧化产物。

   ①I中黑色粉末的化学式为        

②向锥形瓶中滴加10%H2O2水溶液,点燃II处酒精灯,观察到II中铜丝红热,此时撤去酒精灯,铜丝仍保持红热,解释其原因              

③光亮的铜丝起     作用,II中反应的总方程式为           

④取U型管中液体,加入到新制Cu(OH)2中,加热煮沸,发生反应的化学方程式为

                

试题详情

28.(17分)已知:

A分子式为C6H11Cl,含六元环结构,可以发生下面的转化:

  (1)C物质中含有的官能团名称是       ,反应①的条件为      

  (2)写出A、F的结构简式:A       F       

  (3)写出反应③的化学方程式             

  (4)写出下列反应类型的名称:A→B        C→D       

  (5)写出反应⑥的化学方程式                

  (6)分子式为G5H8O4的E的同系物共有四种,除HOOC一CH2一CH2一CH2一COOH外,其余三种的结构简式为                     

试题详情

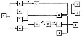
27.(16分)已知M为两种元素组成的离子化合物,其中金属元素的质量分数为35.4%,M在汽车安全气囊中有重要的作用。常温下G为淡黄色固体。H为一种常见的液体,A、B、C、X为单质,其中A、C、X为气体,A、X均为空气中成分。I、J为常见的工业原料。

  (1)写出下列物质的化学式:X      、I      、M      

  (2)写出G与H反应的化学方程式                   

  (3)实验室中I应保存在棕色试剂瓶中,用化学方程式解释原因        

  (4)常温下M受撞击时可分解,13gM完全分解为A和B时,放出akJ的热量,写出M分解的热化学方程式                      

  (5)M是一种易溶于水的盐,其水溶液显弱碱性,用离子方程式解释原因      

试题详情

26.(13分)H、C、N、Na、Si、Cu六种元素单质的熔点如图所示,其中单质a对应元素的一种原子是已知元素原子中质量最小的,单质c、d均是热和电的良导体。回答以下问题。

  (1)写出上图中单质b的电子式      ,常温下a、f对应元素能按原子个数比1:l形成气态化合物,实验室制备该化合物的化学方程式为      

  (2)a与b对应元素原子形成的10电子分子的空间构型为   ,该分子属于   分子(填“极性”或“非极性”)。

  (3)c、e、f对应元素的原子半径大小顺序为   >     >     (用元素符号表示)。b、e、f对应元素的最高价氧化物的水化物酸性强弱顺序为     >

     >    (用化学式表示)。

  (4)c对应元素的最高价氧化物的水化物的水溶液与单质e反应的离子方程式为     

试题详情

13.盐酸、醋酸和碳酸氢钠是生活中常见的物质。下列表述不正确的是          (   )

    A.pH=3的CH3COOH溶液和pH=11的NaOH溶液等体积混合,所得溶液pH<7

    B.NaHCO3溶液中:c(H+)=c(OH)+c(CO32)

    C.等物质的量浓度的CH3COOH溶液与NaOH溶液等体积混合后,溶液中离子的浓度由大到小的顺序是:c(Na+)>c(CH3COO)>c(OH)>c(H+)

    D.用同浓度的NaOH溶液中和等物质的量浓度相等体积的盐酸和醋酸,消耗NaOH溶液的体积前者等于后者

非选择题

试题详情

12.下列说法正确的是                                              (   )

    A.1mol金刚石中含有4molC-C键

    B.石墨晶体中碳原子数与碳碳键数的比为3:2

    C.离子化合物W的晶体结构单元如图,W化学式为XYZ2

    D.干冰晶体中每个最小重复单元均含有14个二氧化碳分子

试题详情


同步练习册答案