0  174343  174351  174357  174361  174367  174369  174373  174379  174381  174387  174393  174397  174399  174403  174409  174411  174417  174421  174423  174427  174429  174433  174435  174437  174438  174439  174441  174442  174443  174445  174447  174451  174453  174457  174459  174463  174469  174471  174477  174481  174483  174487  174493  174499  174501  174507  174511  174513  174519  174523  174529  174537  447090 

12.下列说法不正确的是

A.研究氯气性质的基本程序为:观察外观性质→运用分类法预测其性质→实验和观察→解释和得出结论

B.将浓硝酸分解产生的混合气体干燥,然后插入带火星的木条,木条复燃,说明二氧化氮能支持燃烧

C.将一块金属钠放置在空气中,会发生一系列变化,最终生成碳酸氢钠粉末

D.氯化铁可用于净水,原因是水解生成的氢氧化铁胶体具有吸附性,吸附水中悬浮杂质后聚沉

试题详情

11.关于下列各装置图的叙述中,正确的是

A.装置①可用于以铜屑与稀硝酸反应制取并收集干燥的NO

B.装置②中,阳离子移向d极

C.装置③可用于收集H2、NH3、Cl2、HCl、NO2

D.装置④能用于测量难溶于水的气体体积

试题详情

10.美籍华裔化学家钱永健等三人因在发现和研究绿色荧光蛋白(GFP)方面做出的突出贡献而分享了2008年诺贝尔化学奖。GFP中的生色基团的结构如下图所示(其中R代表烃基)。下列有关说法正确的是

A.1mol该有机物分子中含有7mol碳碳双键

B.该有机物能发生加成反应,但不能发生取代反应

C.该有机物与(其中的R与上述有机物相同)互为同分异构体

D.该有机物是一种高分子化合物

试题详情

9.下列有关化学史实涉及的化学观念与现代科学理论或事实相悖的是

A.英国科学家道尔顿提出了近代原子学说,认为原子是不可再分的

B.意大利科学家阿伏加德罗提出了分子的概念,从而正确解释了化学反应中反应物、生成物的质量为定比的关系

C.1965年,我国科学家人工合成了结晶牛胰岛素,证明人工可以合成具有生理活性的蛋白质

D.俄国化学家门捷列夫发现了元素周期律,在本质上揭示了原子核外电子排布的周期性变化决定了元素性质的周期性变化

试题详情

28.(14分)超细氮化铝粉末被广泛应用②大规模集成电路生产领域。其制取原理为:

Al2O3 +3C +N2→2AlN+3CO由于反应不完全,氮化铝产品中往往含有炭和氧化铝杂质,为测定该产品中有关成份的含量,进行了以下两个实验:

  (1)称取10.00g 样品,将其加入过量的氢氧化钠溶液中,装置见上图甲,AlN跟氢氧化钠溶液反应生成NaAlO2,并放出氨气3.36L(标准状况)。

①上述反应的化学方程式为        

②该样品中的AlN 的质量分数为     

③在装置B中所选择的试剂是(填序号)     

a.H2O   b.浓H2SO4    C.CCl4    D.饱和食盐水

④上述实验方案,可能因气体体积测量不准,导致误差较大。有人建议改用下列乙、丙两个装置中的一种(在通风橱内进行),只需进行简单而又必要的数据测定,可比较准确确定样品中AlN 的质量分数。较合理的装置是:      (填代号)。

  (2)另取10.00g 样品置于密闭的真空反应器中,通入2.016L(标准状况)O­2,在高温下充分反应后测得气体的密度为1.34g·L-1(已折成标准状况,AlN 不跟O2 反应)。该样品中含杂质炭_______g.

29(18 分)奶油中有一种只含C、H、O 的化合物A。A 可用作香料,其相对分子质量为88,分子中C、H、O 原子个数比为2:4:1。

  (1)A 的分子式为___________。

  (2)写出与A 分子式相同且能发生银镜反应的酯可能的结构简式:

______________________________________________________。

已知:①ROH+HBr(氢溴酸) RBr+H2O

    A中含有碳氧双键,与A相关的反应如下:

  (3)写出A、C、F 的结构简式:A _____________、C ____________、F ___________。

  (4)写出B→D反应的化学方程式:_________________________________________。

  (5)在空气中长时间搅拌奶油,A可转化为相对分子质量为86 的化合物G,G 的一氯代物只有一种,写出G 的结构简式:________________。A → G 的反应类型为_________。

试题详情

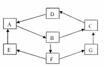
27.(12分)在一次兴趣小组活动中,一小组利用物质间的互变,设计成一平面“魔方”,如图所示。

已知:①A、B、C、D、G 含有同种元素。

物质
纯A(单质)
B(溶液)
D(固体)
G(溶液)
颜色
银白色
黄色
红棕色
浅绿色

③E是通常情况下密度最小的气体;B 与硝酸银溶液反应生成不溶于稀硝酸的白色沉淀,也能将一种氧化物氧化为F,F 是含有三种元素的化合物,其稀溶液与A 反应生成E、G。

依据以上信息填空:

  (1)写出D的化学式       

  (2)G 生成C 的过程中所出现的现象为              

  (3)Cl2 在有KOH 的环境中能将C 物质氧化为K2AO4,写出其相关反应的化学方程式:

                 

  (4)由A 制备的A(C2H5)2 的结构如下图,

其中氢原子的化学环境完全相同。但早期人们却错误地认为它的结构为:

核磁共振法能够区分这两种结构(注:此法主要用来判断氢原子的化学环境,不同环境的氢原子会产生不同的吸收峰)。在核磁共振氢谱中,正确的结构有    种峰,错误的结构有种峰。

   (5)B→F 的离子方程式为。         

试题详情

26.(16分)短周期元素X、Y、Z、W 的原子序数依次增大,其中X的最外层电子数是次外层电子数的2倍,Y的单质与X的低价氧化物的电子数相同,Z 的原子半径是短周期的主族元素中最大的,W 的原子半径是所在周期中最小的(稀有气体元素除外)。请回答下列问题(相应的化学式均用元素符号书写):

  (1)X可形成多种单质,其中一种的硬度很小,但熔点极高,该单质的名称是_________,它具有此性质的原因是________________________________________。

   (2)由Y、Z 组成的化合物与水反应生成两种碱,该反应的化学方程式是_____________

____________________________________________________________。

  (3)Y 的常见氢化物的空间构型是____________;它的另一种氢化物Y2H4 是一种火箭燃料的成分,其电子式是________________________________。

  (4)将W的单质和二氧化硫分别通入品红溶液,都能使品红褪色。简述用褪色的溶液区别二者的实验方法___________________________________________。

  (5)过量的W 单质与Y 的常见氢化物反应可生成Y、W 的二元化合物,其分子中各原子都满足8 e- 结构,则反应的化学方程式为_____________________________,若在反应过程中Y 元素的化合价不变,则有1mol 的W 单质参加反应时转移的电子数为________NA

试题详情

13.以Pt为电极,电解含有0.10mol M+和0.10mol N3+ (M+、N3+均为金属阳离子)溶液,阴极析出金属单质或气体的总物质的量(y)与导线中通过电子的物质的量(x)的关系如下图。对离子氧化能力的强弱判断正确的是(选项中H+为氢离子)   (   )

    A.M+ > H+ > N3+                  B.M+ >N3+ > H+

    C.N3+ >H+> M+                   D.条件不足,无法确定

试题详情

12.有①Na2CO3 溶液②NaClO 溶液③NaOH 溶液各25mL,物质的量浓度均为0.1mol·L-1,下列说法不正确的是                                    (   )

    A.三种溶液pH的大小顺序是③>②>①

    B.将3种溶液稀释相同倍数,pH 变化最大的是③

    C.分别加入25mL0.1molL-1 盐酸后,pH 最大的是①

    D.三种溶液水的电离程度大小顺序是③>①>②

试题详情

11.某温度下,在体积为5 L 的密闭容器中,充入1 mol A 气体,发生如下可逆反应:

2A(g)B(g)+C(g);△H=+aKJ/mol(a>0),2min后反应达平衡,A为0.4mol。下列叙述中不正确的是                                   (   )

    A.B物质的反应速率为0.03 mol/(L·min)

    B.充分反应后,反应吸收的热量小于aKJ

C.达平衡后,保持温度和容器体积不变,再充入1 mol A,充分反应后,A的分解率增大

    D.若温度和容器体积不变,起始时充入B 和C 各0.5 mol,则达平衡时,A的物质的量仍为0.4mol

试题详情


同步练习册答案