0  174277  174285  174291  174295  174301  174303  174307  174313  174315  174321  174327  174331  174333  174337  174343  174345  174351  174355  174357  174361  174363  174367  174369  174371  174372  174373  174375  174376  174377  174379  174381  174385  174387  174391  174393  174397  174403  174405  174411  174415  174417  174421  174427  174433  174435  174441  174445  174447  174453  174457  174463  174471  447090 

9.下列条件下,两瓶气体所含原子数一定相等的是                        (   )

    A.同质量、不同密度的N2和CO

    B.同温度、同体积的H2和N2

    C.同体积、同密度的C2H4和CH4

    D.同压强、同体积的N2O和CO2

试题详情

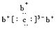
8.a、b、c、d是四个短周期元素。a、b、d同周期,c、d同主族,a的原子结构示意图为,b与c形成化合物的电子式为: 。下列比较中正确的是(   )

    A.原子半径:a>c>d

    B.非金属性a>b>d

    C.最高价氧化物的熔点:d>a

    D.最高价氧化物对应的水化物的酸性:c>d>a

试题详情

7.下列有关溶液中离子大量共存的说法,正确的是                        (   )

    A.S2-、Na+、Fe3+、SO42-能大量共存

    B.常温下,水电离产生c(H+)=1×10-12mol/L的溶液中,可能有Mg2+、Na+、Cl、    HCO3大量共存

    C.在K+、AlO2-、Cl-、SO42溶液中加入过量Na2O2后仍能大量共存

    D.澄清透明的溶液中,可能有Ba2+、Cl-、Al3+、SO42大量共存

试题详情

6.下列叙述肯定正确的是                                            (   )

    A.构成分子晶体的微粒一定含有共价键

    B.离子晶体中一定只含有离子键

    C.同主族元素形成的氧化物的晶体类型一定相同

    D.熔化时无需破坏化学键的晶体一定是分子晶体

试题详情

5.下列关于胶体的叙述不正确的是                                     (   )

    A.布朗运动是胶体微粒特有的运动方式,可以据此把胶体和溶液、悬浊液区别开来

    B.光线透过胶体时,胶体发生丁达尔现象

    C.用渗析的方法净化胶体时,使用的半透膜只能让较小的分子、离子通过

    D.胶体微粒具有较大的表面积,能吸附阳离子或阴离子,故在电场作用下会产生电泳    现象

试题详情

4.《青花瓷》中所描绘的“屏层鸟绘的牡丹一如你梳妆”、“色白花青的景已跃然于碗底”等图案让人赏心悦目,但古瓷中所用颜料成分一直是个谜,近年来科学家才得知大多为硅酸盐,如蓝紫色的硅酸铜钡(BaCuSi2Ox,铜为+2价),下列关于硅酸铜钡的说法不正确的是(   )

    A.x等于6                       B.性质稳定,不易脱色

    C.一溶解于强酸和强碱              D.可用氧化物形式表示为BaO·CuO·2SiO2

试题详情

3.下列有关化学用语的说法正确的是                                   (   )

    A.次氯酸的结构式为:H-Cl-O      B.-OH与都表示羟基

    C.S2的结构示意图:        D. CaCl2的电子式:

试题详情

2007年3月21日,全国科学技术名词审定委员会公布:111号元素的中文名称为钅仑(Rg),  以此几年科学家伦琴诞辰111周年。有关272Rg的叙述正确的是          (   )

    A.272Rg的质子数为272             B.272Rg原子的中子数与电子数之差为50

    C.272Rg 原子核内有111个中子        D.第111号元素位于元素周期表第6周期

2.下列叙述正确的是                                               (   )

    A. 互为同位素,物理性质相似

    B.CO2和CO属于同素异形体,所以性质不同

    C.明矾和漂白粉常用于自来水的净化和杀菌消毒,两者的作用原理相同

    D.C(石墨,s)=C(金刚石,s);△H>0,所以石墨比金刚石稳定

试题详情

29.(16分)已知一个碳原子连有两个羟基时,易发生下列转化:

  (1)写出下列反应的反应类型:

   反应③                反应④             

  (2)E中含有的官能团的名称是        反应③的化学方程式为       

  (3)已知B的相对分子质量为162,完全燃烧的产物中n(CO2):n(H2O)=2:1,F是高分子光阻剂生产中的主要原料,F具有以下特点:

(1)能跟FeCl3溶液发生显色反应;(2)能发生加聚反应;(3)苯环上的一氯代物只有两种。那么B的结构简式为            ,F在一定条件下发生加聚反应的化学方程式为                       

  (4)化合物G是F的同分异构体,属于芳香族化合物,能发生银镜反应,G有多种结构,写出其中苯环上的一氯代物有四种的同分异构体的结构简式      

                

试题详情

28.(16分)某校化学研究性小组为了测定硫酸铵样品中(含杂质NaCl)硫酸铵的质量分数按下图装置进行实验。

  (1)烧瓶内发生反应的离子方程式为             

  (2)烧杯中盛放的试剂最好是    (填序号)

a浓硫酸  b稀硫酸  c、水

理由是                       

  (3)但有同学对此实验提出质疑,甲同学认为此实验所测得的硫酸铵的质量分数可能偏高,因为实验室装置存在一个明显缺陷是         ;乙同学认为该实验还存在另一个明显缺陷是                。针对甲、乙两位同学提出的实验装置中存在的明显缺陷,大家将该实验装置改进,重新进行实验,称取16.5硫酸铵样品,测得实验后B装置增重3.4g,那么该样品中硫酸铵的质量分数为          

  (4)还可用其它方法测定样品中的硫酸铵的质量分数,请简述一种不同的实验方法。

                                                                  

试题详情


同步练习册答案