题目列表(包括答案和解析)

 0  100676  100684  100690  100694  100700  100702  100706  100712  100714  100720  100726  100730  100732  100736  100742  100744  100750  100754  100756  100760  100762  100766  100768  100770  100771  100772  100774  100775  100776  100778  100780  100784  100786  100790  100792  100796  100802  100804  100810  100814  100816  100820  100826  100832  100834  100840  100844  100846  100852  100856  100862  100870  447348 

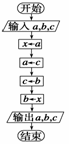
8.当输入a=3,b=-1,n=5时,下列程序语句执行后,输出的是c=   ▲   .

Read  a,b,n

i←1

While  i≤n-2

c←a+b

a←b

b←c

i←i+1

End While

Print  c

End

试题详情

7.若框图所给的程序运行的结果为S=90,那么判断框中应填入的关于k的判断条件是    ▲   .

试题详情

6.如图所示,流程图所进行的求和运算的表达式是    ▲      .

                  

 

试题详情

4.下列说法:

①将一组数据中的每个数据都加上或减去同一个常数后,方差恒不变;

②设有一个回归方程=3-5x,变量x增加一个单位时,y平均增加5个单位;

③线性回归方程=必过();

④曲线上的点与该点的坐标之间具有相关关系;

⑤在一个2×2列联表中,由计算得=13.079,则其两个变量间有关系的可能性是90%.

其中错误的个数是    ▲   .

试题详情

3.在样本的频率分布直方图中,一共有4个小长方形,这4个小长方形的面积由小到大构成等差数列{an},且a2=2a1,若样本容量为400,则小长方形中面积最大的一组的频数等于    ▲   .

试题详情

2.如果数据x1,x2,…,xn的平均数为,方差为s2,则2x1+3,2x2+3,…,2xn+3的平均数和方差为    ▲      ▲    .

试题详情

1.某地区有300家商店,其中大型商店有30家,中型商店有75家,小型商店有195家,为了掌握各商店的营业情况,要从中抽取一个容量为20的样本,若采用分层抽样的方法,抽取的中型商店数有   ▲   家.

试题详情

20. 已知直线l1:3x+4y-5=0,圆Ox2+y2=4.

(1)求直线l1被圆O所截得的弦长;

(2)如果过点(-1,2)的直线l2l1垂直,l2与圆心在直线x-2y=0上的圆M相切,圆M被直线l1分成两段圆弧,其弧长比为2∶1,求圆M的方程.

试题详情

19.已知:△ABC中,顶点A(2,2),边AB上的中线CD所在直线的方程是,边AC上的高BE所在直线的方程是.(1)求点B、C的坐标;  (2)求△ABC的外接圆的方程.

试题详情


同步练习册答案