题目列表(包括答案和解析)

 0  96252  96260  96266  96270  96276  96278  96282  96288  96290  96296  96302  96306  96308  96312  96318  96320  96326  96330  96332  96336  96338  96342  96344  96346  96347  96348  96350  96351  96352  96354  96356  96360  96362  96366  96368  96372  96378  96380  96386  96390  96392  96396  96402  96408  96410  96416  96420  96422  96428  96432  96438  96446  447348 

4.已知f(x)是一次函数,2f(2)-3f(1)=5,2f(0)-f(-1)=1,则f(x)=( )

A.3x+2  B.3x-2

C.2x+3  D.2x-3

[解析] 设f(x)=kx+b(k≠0),

∵2f(2)-3f(1)=5,2f(0)-f(-1)=1,

∴,∴,

∴f(x)=3x-2.故选B.

[答案] B

试题详情

3.函数y=x2-2x的定义域为{0,1,2,3},那么其值域为( )

A.{-1,0,3}    B.{0,1,2,3}

C.{y|-1≤y≤3}      D.{y|0≤y≤3}

[解析] 当x=0时,y=0;

当x=1时,y=12-2×1=-1;

当x=2时,y=22-2×2=0;

当x=3时,y=32-2×3=3.

[答案] A

试题详情

2.已知函数f(x-1)=x2-3,则f(2)的值为( )

A.-2  B.6

C.1  D.0

[解析] 方法一:令x-1=t,则x=t+1,

∴f(t)=(t+1)2-3,

∴f(2)=(2+1)2-3=6.

方法二:f(x-1)=(x-1)2+2(x-1)-2,

∴f(x)=x2+2x-2,

∴f(2)=22+2×2-2=6.

方法三:令x-1=2,

∴x=3,∴f(2)=32-3=6.故选B.

[答案] B

试题详情

1.如下图所示的图形中,不可能是函数y=f(x)的图象的是( )

¥资%源~网

[解析] 结合函数的定义知,对A、B、D,定义域中每一个x都有唯一函数值与之对应,而对C,对大于0的x而言,有两个不同值与之对应,不符合函数定义,故选C.

[答案] C

试题详情

9.(10分)如图所示,在边长为4的正方形ABCD边上有一点P,由点B(起点)沿着折线BCDA,向点A(终点)运动.设点P运动的路程为x,△APB的面积为y,求:y与x之间的函数解析式.

[解析] 当0≤x≤4时,S△APB=×4x=2x;

当4<x≤8时,S△APB=×4×4=8;

当8<x≤12时,S△APB=×4×(12-x)=24-2x,

 

函数的基本性质

试题详情

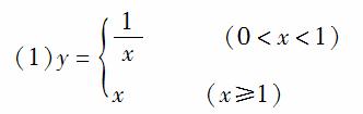
8.求下列函数的图象及值域:

(1)y=

(2)y=|x+1|+|x-2|.

[解析] 

(1)函数

的图象如右图,

观察图象,

得函数的值域为[1,+∞).

(2)将原函数的解析式中的绝对值符号去掉,

化为分段函数

它的图象如右图.

观察图象,显然函数值y≥3,

所以函数的值域为[3,+∞).

试题详情

7.某市营业区内住宅电话通话费为前3分钟0.20元,以后每分钟0.10元(不足3分钟按3分钟计,以后不足1分钟按1分钟计).

(1)在直角坐标系内,画出一次通话在6分钟内(包括6分钟)的通话费y(元)关于通话时间t(分钟)的函数图象;

(2)如果一次通话t分钟(t>0),写出通话费y(元)关于通话时间t(分钟)的函数关系式(可用?t?表示不小于t的最小整数).

[解析] (1)如图

(2)由(1)知,话费与时间t的关系是分段函数,当0<t≤3时,话费为0.2元;当t>3时,话费应为[0.2+(?t?-3)×0.1]元,

所以

试题详情

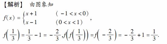
6.

已知函数f(x)的图象是两条线段(如图,不含端点),则f(f)=  .

[答案]1/3

试题详情

5.已知f(x)=(x∈N),那么f(3)=________.

[解析] f(3)=f(3+2)=f(5)=f(5+2)=f(7)=7-5=2.

[答案] 2

试题详情

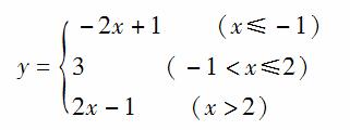
4.图中的图象所表示的函数的解析式为( )

[答案] B

试题详情


同步练习册答案