题目列表(包括答案和解析)

 0  99343  99351  99357  99361  99367  99369  99373  99379  99381  99387  99393  99397  99399  99403  99409  99411  99417  99421  99423  99427  99429  99433  99435  99437  99438  99439  99441  99442  99443  99445  99447  99451  99453  99457  99459  99463  99469  99471  99477  99481  99483  99487  99493  99499  99501  99507  99511  99513  99519  99523  99529  99537  447348 

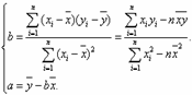
17.(本题满分12分)某种产品的广告费支出与销售额(单位:百万元)之间有如下对应数据:


2
4
5
6
8

30
40
50
60
70

(1)画出散点图;

(2)求线性回归方程;

(3)预测当广告费支出为7百万元时的销售额。参考公式:

试题详情

16.已知抛物线上有一条长为2的动弦AB,则AB中点M到x轴的最短距离为

            .

试题详情

15.设全集S有两个子集A,B,若由xSAx∈B,则xAxSB      条件.

试题详情

14.命题“”的否定是                 

试题详情

13.某篮球学校的甲、乙两名运动员练习罚球,每人

练习10组,每组罚球40个。命中个数的茎叶图如下.则

罚球命中率较高的是      。             

试题详情

12.对于抛物线上任意一点Q,点P(a,0)都满足|PQ|≥|a|,则a的取值范围是

A.         B.         C.[0,2]           D.(0,2)

第Ⅱ卷(非选择题  共90分)

试题详情

11.在120个零件中,一级品24个,二级品36个,三级品60个。用系统抽样法从中抽取容量为20的样本.则每个个体被抽取到的概率是

A.            B.          C.           D.

试题详情

10.一个样本M的数据是,它的平均数是5,另一个样本N的数据是它的平均数是34.那么下面的结果一定正确的是

A.         B.          C.         D.

试题详情

9.过双曲线的右焦点且方向向量为的直线L与抛物线交于A、B两点,则|AB|的值为

A.           B.             C.              D.

试题详情

7.如果命题P:,命题Q:,那么下列结论不正确的是

A.“P或Q”为真                       B.“P且Q”为假    

C.“非P”为假                  D.“非Q”为假

  8.在同一坐标系中,方程的曲大致是    

A.        B.         C.         D.

试题详情


同步练习册答案