0  160118  160126  160132  160136  160142  160144  160148  160154  160156  160162  160168  160172  160174  160178  160184  160186  160192  160196  160198  160202  160204  160208  160210  160212  160213  160214  160216  160217  160218  160220  160222  160226  160228  160232  160234  160238  160244  160246  160252  160256  160258  160262  160268  160274  160276  160282  160286  160288  160294  160298  160304  160312  447090 

8.已知两条不同的直线,两个不同的平面,则下列命题中的真命题是( )

A.若,则

B.若,则   

C.若,则              

D.若,则

试题详情

7.已知条件甲:函数在其定义域内是减函数,条件乙:,则条件甲是条件乙的                      ( )

    A.充分而不必要的条件              B.必要而不充分的条件     

    C.充要条件                  D.既不充分也不必要的条件

试题详情

6.已知圆的方程为,设圆中过点的最长弦与最短弦分别为,则直线的斜率之和为                                          ( )

   A.0             B.          C.            D.

试题详情

5.已知函数在一个周期内的图象如图所示,要得到函数的图象,则需将函数的图象                              ( )

A.向右平移    

B.向左平移    

C.向右平移     

D.向左平移

试题详情

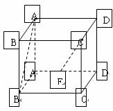
4.如图,在正方体中,若的中点,则异面直线所成角的大小是           ( )

A.                          B.        

C.                         D.

试题详情

3.若函数的定义域是,则函数的定义域是           ( )

A.       B.        C.         D.

试题详情

2.在等比数列中,若,则公比应为                    ( )

A.2       B.           C.         D.

试题详情

1.设集合,集合,则下列关系中正确的是     ( )

    A.                   B. 

    C.                       D.

试题详情

22.(本小题满分14分)

已知双曲线C:,F是右焦点,过F作双曲线C在第一、三象限的渐近线的垂线,垂足为P,过点P作x轴的垂线,垂足为A。

(1)求

(2)若直线与双曲线C交于 M、N两点,点B(0,-1),且|MB|=|NB|,求m的取值范围。

试题详情

21.(本小题满分14分)

已知函数的图象经过原点。

(Ⅰ)若成等差数列,求的值;

(Ⅱ)若,三个正数成等比数列,

试题详情


同步练习册答案